Get insider access
Preferred store
Your browser is not supported or outdated so some features of the site might not be available.

LG B3 OLED TV Review

Tested using Methodology v1.11
Reviewed Nov 21, 2023 at 03:08 pm
Latest change: Writing modified May 07, 2024 at 02:56 pm
LG B3 OLED Picture
8.7
Mixed Usage
Value for price beaten by
: no price info
8.3
TV Shows
Value for price beaten by
: no price info
8.5
Sports
Value for price beaten by
: no price info
9.3
Video Games
Value for price beaten by
: no price info
8.8
HDR Movies
Value for price beaten by
: no price info
9.0
HDR Gaming
Value for price beaten by
: no price info
9.2
PC Monitor
Value for price beaten by
: no price info
This TV was replaced by the LG B4 OLED

The LG B3 OLED is a mid-range OLED TV, replacing 2022's LG B2 OLED, and sits between the LG A3 OLED and the LG C3 OLED in LG's 2023 lineup. It uses LG's α7 AI Processor Gen6 for its image and audio processing and supports Dolby Vision HDR as well as Dolby Digital, Dolby Atmos, and DTS audio formats. It has four HDMI ports, two of which carry HDMI 2.1 bandwidth capable of up to 4k @ 120Hz, including Dolby Vision gaming at up to 120Hz. The TV is compatible with every variable refresh rate (VRR) technology for nearly tear-free gaming, has LG's Game Optimizer gaming interface, and has Auto Low Latency Mode (ALLM) support. It comes with version 23 of LG's webOS smart platform and works with the Amazon Alexa, Apple Homekit, and Google Assistant smart ecosystems, as well as Apple Airplay2 for wireless streaming. It's available in a few sizes, from 55 to 77 inches.

Our Verdict

8.7 Mixed Usage

The LG B3 is an excellent TV overall. It's remarkable for watching movies in dark rooms thanks to its near-infinite contrast ratio with perfect blacks, with most colors looking bright and vibrant. If you watch shows or sports in bright rooms, it's impressive as it has incredible reflection handling to fight glare from a few light sources, but it doesn't get bright enough to fight glare in brighter rooms. It's incredible for gaming with HDMI 2.1 bandwidth on two ports, variable refresh rate (VRR) support to reduce screen tearing, very low input lag, and a near-instantaneous response time for smooth motion. It's also fantastic to use as a PC monitor, but OLEDs risk permanent burn-in when exposed to the same static elements over time.

Pros
  • Dark scenes look amazing with deep, inky blacks.
  • Image stays consistent when viewed from the sides.
  • Incredible reflection handling.
  • Most colors look vibrant.
Cons
  • Some scenes don't get bright enough to fight glare.
8.3 TV Shows

The LG B3 is great for watching TV shows in well-lit environments. Its reflection handling is incredible, although it's not bright enough to fight a ton of glare. It also has a wide viewing angle that makes the image look consistent from the sides, so you can watch shows with the entire family sitting around the TV. The built-in webOS smart platform has a ton of apps available to download, and its image processing is very good overall, so shows look great no matter their source.

Pros
  • Very good image processing.
  • Image stays consistent when viewed from the sides.
  • Incredible reflection handling.
Cons
  • Some scenes don't get bright enough to fight glare.
8.5 Sports

The LG B3 is amazing for watching sports. Fast-moving sports look smooth with minimal motion blur, and it has great gray uniformity that makes playing surfaces look uniform. It has a wide viewing angle, making it an ideal choice for wide seating areas as people sitting to the sides see a consistent image. It has incredible reflection handling if you have a few lights around, but it doesn't get bright enough in SDR to fight a ton of glare, so it's not the best choice for very bright rooms.

Pros
  • Very good image processing.
  • Exceptional motion handling.
  • Image stays consistent when viewed from the sides.
  • Incredible reflection handling.
Cons
  • Some scenes don't get bright enough to fight glare.
9.3 Video Games

The LG B3 is incredible for gaming. It has many gaming features, like HDMI 2.1 bandwidth on two ports and variable refresh rate (VRR) support, that make it fully compatible with recent consoles and PC graphic cards. It also offers a quick and responsive gaming experience thanks to its low input lag and near-instantaneous response time. Unfortunately, its SDR brightness is just okay, and it struggles to look bright and vibrant in very bright rooms, even with its incredible reflection handling. However, it's remarkable for dark room gaming as it has a near-infinite contrast ratio that produces deep blacks, with no blooming around bright objects.

Pros
  • Dark scenes look amazing with deep, inky blacks.
  • HDMI 2.1 bandwidth.
  • Exceptional motion handling.
  • Extremely low input lag.
  • Great gaming features.
Cons
  • Some scenes don't get bright enough to fight glare.
  • One of the HDMI 2.1 ports is also the eARC port.
8.8 HDR Movies

The LG B3 is excellent for watching HDR movies. It looks incredible in dark rooms as it displays deep and inky blacks without any blooming. It displays a wide color gamut in HDR, but its tone mapping is off, so colors don't look very accurate. It also has okay HDR peak brightness, enough to make some highlights stand out, but it doesn't get bright enough to deliver a truly satisfying HDR experience with bright and vivid colors. Its image processing is very good overall, so low-bitrate content from streaming services is mostly free of noticeable digital artifacts, like macro-blocking.

Pros
  • Dark scenes look amazing with deep, inky blacks.
  • Removes 24p judder from any source.
  • Very good image processing.
  • Most colors look vibrant.
Cons
  • Noticeable stutter in low frame rate content.
  • Color accuracy is off in HDR.
  • Not bright enough to make some highlights pop in HDR.
9.0 HDR Gaming

The LG B3 is fantastic for HDR gaming. It delivers incredible gaming performance thanks to its variable refresh rate (VRR) support, HDMI 2.1 bandwidth on two ports, quick response time, and low input lag. It's also fantastic for dark room gaming as its blacks are deep and inky, and it displays bright objects without any blooming. Its HDR experience is excellent thanks to its dark room performance, with most colors looking bright and vibrant, but some bright highlights don't truly pop.

Pros
  • Dark scenes look amazing with deep, inky blacks.
  • HDMI 2.1 bandwidth.
  • Exceptional motion handling.
  • Most colors look vibrant.
  • Extremely low input lag.
  • Great gaming features.
Cons
  • Color accuracy is off in HDR.
  • One of the HDMI 2.1 ports is also the eARC port.
  • Not bright enough to make some highlights pop in HDR.
9.2 PC Monitor

The LG B3 is fantastic to use as a PC monitor. Thanks to the low input lag and incredible response time, your mouse movements and keyboard inputs feel extremely responsive, with no noticeable motion blur. It also has a wide viewing angle that makes the image remain consistent if you sit too close, and the reflection handling is incredible if you want to use it in a room with a few lights around, although it's not bright enough in SDR for very bright rooms. Sadly, OLEDs risk permanent burn-in when exposed to the same static elements over time, like from a PC's user interface.

Pros
  • Displays proper chroma 4:4:4.
  • Exceptional motion handling.
  • Image stays consistent when viewed from the sides.
  • Incredible reflection handling.
  • Extremely low input lag.
Cons
  • 8.7 Mixed Usage
  • 8.3 TV Shows
  • 8.5 Sports
  • 9.3 Video Games
  • 8.8 HDR Movies
  • 9.0 HDR Gaming
  • 9.2 PC Monitor
  1. Updated May 07, 2024: Mentioned the newly-reviewed LG B4 OLED in the HDR Brightness section of this review.
  2. Updated Dec 06, 2023: We've retested the TV's HDR brightness with firmware 03.20.50, but the TV's HDR brightness is the same as before the firmware update. Our results in the HDR Brightness and HDR Brightness in Game Mode tests haven't changed.
  3. Updated Nov 24, 2023: We bought and tested the Sony A75L OLED and added a few comparisons below in the Upscaling: Sharpness Processing and Compared To Other TVs sections of the review.
  4. Updated Nov 21, 2023: Review published.
  5. Updated Nov 15, 2023: Early access published.
  6. Updated Nov 09, 2023: Our testers have started testing this product.
  7. Updated Nov 08, 2023: The product has arrived in our lab, and our testers will start evaluating it soon.
  8. Updated Oct 30, 2023: We've purchased the product and are waiting for it to arrive in our lab.

Differences Between Sizes And Variants

We tested the 65-inch LG B3 (OLED65B3PUA), and the results are also valid for the 55 and 75-inch models. Note that the last three letters in the model number (PUA in this case) vary between retailers and individual regions, but there's no difference in performance. Models ending with AUA, like the LG 65OLEDB3AUA, are Costco/Sam's Club variants but are otherwise identical, although they are advertised as having Wi-Fi 6E, while LG's website advertises the PUA models as having Wi-Fi 5.

Size US Model Costco Variant
55" LG OLED55B3PUA OLED55B3AUA
65" LG OLED65B3PUA OLED65B3AUA
77" LG OLED77B3PUA OLED77B3AUA

Our unit was manufactured in October 2023, and you can see the label here.

Compared To Other TVs

The LG B3 is an excellent OLED TV. It delivers deep blacks, and it has advanced features for gamers. The B3 is a slight step down from the LG C3 OLED in terms of peak brightness, so if you watch a lot of HDR content, you might want to spend just a bit more for the C3. The Sony A80L/A80CL OLED and the Sony A75L OLED are both very similar to the B3, and while the Sony TVs have better image processing, the LG is much cheaper and is the better choice for most people. Ultimately, the LG B3 is a great entry point into the OLED market and is one of the best bang-for-the-buck OLEDs on the market.

See our recommendations for the best OLED TVs, the best LG TVs, and the best TVs for movies.

LG B4 OLED
48" 55" 65" 77" 83"

The LG B4 OLED is better than the LG B3 OLED. The B4 has HDMI 2.1 bandwidth on all four ports, whereas the B3 only as it on two, so the B4 is more versatile if you have multiple high-bandwidth devices. The B4 also gets brighter overall, so highlights stand out more in HDR content, and it can overcome more glare in a bright room while watching SDR content. On top of that, the B4 has better HDR gradient handling for less banding.

LG C3 OLED
42" 48" 55" 65" 77" 83"

The LG C3 OLED and the LG B3 OLED are similar TVs with nearly identical feature sets, but the C3 is better overall. The C3 gets much brighter in HDR and SDR, has better image processing due to its better 4k processor, and has four full HDMI 2.1 bandwidth ports. Inversely, the B3 has two HDMI 2.1 bandwidth ports, one of which also doubles as the eARC port, so you'll need to buy an HDMI 2.1 switch if you have multiple HDMI 2.1 devices.

LG C4 OLED
42" 48" 55" 65" 77" 83"

The LG C4 OLED is better than the LG B3 OLED. While they're very similar with nearly identical features, the C4 has the edge in almost every facet. It is visibly brighter in HDR and SDR, so all content pops noticeably more on the C4 than on the B3. Furthermore, the C4 is the better TV for those who own multiple HDMI 2.1 devices, as it has four full HDMI 2.1 ports with up to 4k @ 144Hz support, while the B3 is limited to two 4k @ 120Hz HDMI 2.1 ports. The B3's HDMI 2.1 ports are back-facing, meaning they're almost impossible to use when the TV is mounted flush against a wall. Finally, one of these ports is also the TV's eARC port, so you lose one of your high bandwidth ports if you have a soundbar connected to the TV.

Samsung S90C OLED
55" 65" 77" 83"

The Samsung S90C OLED and LG B3 OLED are both amazing TVs, and while the LG has a few features that the Samsung doesn't have, the S90C is the better TV overall. The Samsung gets much brighter in HDR and SDR, with a wider color gamut and better color volume, so all content looks significantly more vibrant on the Samsung. It also has four full HDMI 2.1 bandwidth ports, all capable of up to 4k @ 144Hz (120Hz on the 83-inch model), making it the better TV for gamers. The B3 does have better image processing, supports Dolby Vision HDR, and passes through DTS audio formats, making it enticing for home entertainment fans.

Sony X90L/X90CL
55" 65" 75" 85" 98"

The LG B3 OLED and the Sony X90L/X90CL are better than each other in different ways. If you typically watch content in a dark room and want inky blacks, the LG is better due to its nearly infinite contrast ratio and perfect black uniformity. The LG is also the better option for watching TV as a group due to its much wider viewing angle, and its faster response time means there is less blur behind quick motion. However, the Sony is much brighter, so it's better suited for a bright room.

LG C2 OLED
42" 48" 55" 65" 77" 83"

The LG C2 OLED and LG B3 OLED are similar TVs with similar feature sets. The C2 gets slightly brighter in HDR but much brighter in SDR, so it pops more in most content. It also has four full HDMI 2.1 bandwidth ports, while the B3 is limited to two, with one of them also doubling as the eARC port. Inversely, the B3 has better image processing, so low-resolution or low-bitrate content looks better. The B3 also passes through advanced DTS audio formats, making it a better choice for a home entertainment setup.

LG B2 OLED
55" 65" 77"

The LG B3 OLED is the successor to the LG B2 OLED, and while they're both extremely similar, the newer B3 is better in a few ways. The B3 has much better image processing than its predecessor and can pass through advanced DTS audio signals, making it a better option for home entertainment setups. Inversely, the B2 gets brighter in SDR, so SDR content like TV shows and sports pop more on it than on the B3.

LG C1 OLED
48" 55" 65" 77" 83"

The LG B3 OLED is a bit better than the LG C1 OLED. They're very similar and about equally bright in HDR and SDR. However, the B3 has a few upgrades over the older C1, such as better image processing and advanced DTS audio passthrough, making it the more versatile of the two products. The C1 has four full 4k @ 120Hz HDMI ports, while the B3 is limited to two 4k @ 120Hz ports, so if you have a ton of HDMI 2.1 devices, the C1 is more accommodating. Otherwise, the B3 is a slight upgrade over its older cousin.

Sony A80L/A80CL OLED
55" 65" 77" 83"

The Sony A80L/A80CL OLED and the LG B3 OLED are very similar OLEDs with similar features and performance. The Sony gets a bit brighter in HDR and has better image processing, so it's the better choice for movie aficionados. Alternatively, the LG has slightly lower input lag, 1440p support, is a bit brighter in HDR when in Game Mode, and can do Dolby Vision gaming at 120Hz, so it's the better option for gamers.

Sony A75L OLED
55" 65"

The LG B3 OLED and the Sony A75L OLED offer very similar picture quality overall, but the Sony is slightly better. The Sony gets slightly brighter, and it's powered by Sony's industry-leading picture processing, which delivers better upscaling and low-quality content smoothing.

Hisense U8/U8K
55" 65" 75" 85" 100"

The LG B3 OLED and Hisense U8/U8K excel in different ways. The LG is an OLED, so it looks amazing in dark rooms due to its nearly perfect contrast. Inversely, the Hisense's LED panel is far brighter than the LG's, so it looks superior in rooms with bright lights or windows. The LG is a bit better for a wide seating arrangement due to its wider viewing angle, and it's also a bit better for gamers due to its nearly instantaneous response time, although the Hisense does have two 4k @ 144Hz ports, while the LG has two 4k @ 120Hz ports. Ultimately, the choice between the two might come down to whether you mostly watch content in bright rooms or dark rooms.

Samsung S89C OLED
77"

The Samsung S89C OLED and LG B3 OLED are both amazing TVs, and while the LG has a few features that the Samsung doesn't have, the S89C is the better TV overall. The Samsung gets much brighter in HDR and SDR, with a wider color gamut and better color volume, so all content looks significantly more vibrant on the Samsung. It also has four full HDMI 2.1 bandwidth ports, all capable of up to 4k @ 144Hz, making it the better TV for gamers. The B3 does have better image processing, supports Dolby Vision HDR, and passes through DTS audio formats, making it enticing for home entertainment fans.

LG G4 OLED
55" 65" 77" 83" 97"

The LG G4 OLED is a lot better than the LG B3 OLED. The G4 has HDMI 2.1 bandwidth on all four of its ports, it supports up to 4k @ 144Hz, so it's more versatile if you own multiple devices that need high bandwidth, and it's better for PC gamers with high-end graphics cards. The G4 gets a lot brighter overall, so highlights in HDR content really stand out on it, and it overcomes more glare in a bright room while watching SDR content. You also don't have to trade in brightness for performance on the G4 since it maintains its HDR brightness much better while in Game Mode.

Samsung S95C OLED
55" 65" 77"

The Samsung S95C OLED is better than the LG B3 OLED. The Samsung gets brighter in SDR, so it can overcome more glare in a bright room, and it gets brighter in HDR, so highlights stand out more in HDR content. Colors look more vibrant and lifelike on the Samsung due to its wider color gamut and better color volume, and there is less banding. Finally, the Samsung is a bit better for PC gamers thanks to its 4k @ 144Hz support.

Sharp AQUOS FS1 OLED
55" 65"

The LG B3 OLED and the Sharp AQUOS FS1 OLED are similar TVs, but the LG is better. The LG has a wider viewing angle, so the image stays more consistent from the sides than on the Sharp. The LG also has much better overall image processing and a useful BFI feature. On top of that, the LG is brighter in both SDR and HDR.

+ Show more

Video

Test Results

perceptual testing image
Design
Design
Style
Curved No

The TV has an elegant style similar to other LG OLEDs. It has a thin silver border with slim bezels. Otherwise, it has a center-mounted stand with a thin panel and a mainly gray body.

Design
Accelerated Longevity Test
Uniformity Pictures N/A
Design
Stand

The center-mounted stand has a small footprint and keeps the TV stable, but it doesn't prevent all wobble. However, it doesn't take the TV long to settle after it starts wobbling, so it isn't an issue in practice. It's made from plastic even though it looks like metal. The stand lifts the TV about 2.1" above the table, so placing a soundbar in front of it blocks part of the screen.

Footprint of the 65" stand: 22" x 9.5"

Design
Back
Wall Mount VESA 300x200

The LG B3 OLED has a metal back panel, and the part housing the inputs is plastic with a brushed aluminum look. Some of the inputs are side-facing and easy to access with the TV wall-mounted, but the back-facing ones are harder to reach, and you can't make the TV sit flush against the wall if you have cables plugged into the back. Unfortunately, the back-facing ports are the TV's two HDMI 2.1 bandwidth ports.

There's a clip for cable management to help keep your setup clean.

Design
Borders
Borders 0.38" (1.0 cm)
Design
Thickness
Max Thickness 1.84" (4.7 cm)
8.5
Design
Build Quality

The TV has excellent build quality. It's well put together, and there aren't any obvious quality control issues. It has a solid metal back panel, and while the plastic portion with the inputs does flex quite a bit when pushed, it's not a problem during use. Despite the stand's small size, it still supports the TV well, and there's only a bit of wobble from front to back.

Picture Quality
10
Picture Quality
Contrast
Contrast
Inf : 1
Native Contrast
Inf : 1

The LG B3 OLED has a nearly infinite contrast ratio like every other OLED. As each pixel can individually control its own brightness due to OLED's self-emissive technology, you can have super bright highlights next to pixels that are completely off, leading to perfect blacks with no blooming or haloing.

10
Picture Quality
Blooming

Since pixels can be completely turned off next to pixels that are lit up to their maximum brightness, the blacks surrounding bright elements are perfect and don't have any blooming.

10
Picture Quality
Lighting Zone Transitions
Local Dimming
No
Backlight
No Backlight
Dimming Zones Count Of Tested TV
8,294,400

As with other OLED TVs, this TV doesn't have a backlight, but its self-emissive pixels give it the equivalent of a perfect local dimming feature with no zone transitions. We still film the zone transition video on the TV so you can see how the screen performs and compare it with a TV that has local dimming.

9.5
Picture Quality
Contrast And Dark Details In Game Mode

There's no difference in dark scene behavior between the calibrated picture modes and Game Mode.

7.1
Picture Quality
HDR Brightness
Hallway Lights (~1950 cd/m²)
521 cd/m²
Yellow Skyscraper (~700 cd/m²)
384 cd/m²
Landscape Pool (~300 cd/m²)
263 cd/m²
Peak 2% Window
596 cd/m²
Peak 10% Window
585 cd/m²
Peak 25% Window
385 cd/m²
Peak 50% Window
252 cd/m²
Peak 100% Window
138 cd/m²
Sustained 2% Window
579 cd/m²
Sustained 10% Window
573 cd/m²
Sustained 25% Window
366 cd/m²
Sustained 50% Window
239 cd/m²
Sustained 100% Window
130 cd/m²
Automatic Brightness Limiting (ABL)
0.095

The TV has decent HDR peak brightness. It's enough to make some small highlights stand out, but its overall HDR experience isn't as good as other OLEDs, like the LG C3 OLED.

These measurements are after calibrating the HDR white point with the following settings:

  • HDR Picture Mode: Cinema
  • OLED Pixel Brightness: 100
  • Adjust Contrast: 100
  • Peak Brightness: High
  • Color Temperature: Warm 50
  • Dynamic Tone Mapping: Off
  • Auto Dynamic Contrast: Off

Here are measurements with Dynamic Tone Mapping set to 'On':

  • Hallway Lights: 536 cd/m²
  • Yellow Skyscraper: 339.1 cd/m²
  • Landscape Pool: 226.8 cd/m²
  • If you want a similar TV with better HDR brightness, check out 2024's LG B4 OLED.

    7.0
    Picture Quality
    HDR Brightness In Game Mode
    Hallway Lights (~1950 cd/m²)
    523 cd/m²
    Yellow Skyscraper (~700 cd/m²)
    347 cd/m²
    Landscape Pool (~300 cd/m²)
    237 cd/m²
    Peak 2% Window
    585 cd/m²
    Peak 10% Window
    582 cd/m²
    Peak 25% Window
    378 cd/m²
    Peak 50% Window
    259 cd/m²
    Peak 100% Window
    137 cd/m²
    Sustained 2% Window
    558 cd/m²
    Sustained 10% Window
    565 cd/m²
    Sustained 25% Window
    359 cd/m²
    Sustained 50% Window
    245 cd/m²
    Sustained 100% Window
    130 cd/m²
    Automatic Brightness Limiting (ABL)
    0.093

    The LG B3 has decent HDR peak brightness in Game Mode, although it's slightly dimmer than in the other calibrated picture modes.

    These measurements are after calibrating the HDR white point with the following settings:

    • Picture Mode: Game Optimizer
    • OLED Pixel Brightness: 100
    • Adjust Contrast: 100
    • Dynamic Tone Mapping: HGiG
    • Peak Brightness: High
    • Color Temperature: Warm 50

    Here are measurements with Dynamic Tone Mapping set to 'On':

  • Hallway Lights: 518.7 cd/m²
  • Yellow Skyscraper: 347.7 cd/m²
  • Landscape Pool: 260 cd/m²
  • Here are measurements with Dynamic Tone Mapping set to 'Off':

  • Hallway Lights: 530.4 cd/m²
  • Yellow Skyscraper: 371.4 cd/m²
  • Landscape Pool: 275.6 cd/m²
  • 9.5
    Picture Quality
    PQ EOTF Tracking
    600 Nit Tracking Delta
    0.0067
    1000 Nit Tracking Delta
    0.0035
    4000 Nit Tracking Delta
    0.0037

    The PQ EOTF tracking of this TV with HDR10 content is nearly flawless. There are a few minor bumps along the way, but most scenes are displayed at exactly the brightness level the content creator intended. There's a sharp cutoff at the TV's peak brightness with content mastered at 600 and 1000 nits, causing a loss of bright details in extremely bright scenes. Inversely, the TV slowly rolls off when it gets near its peak brightness for content mastered at 4000 nits, preserving fine details in the process. You can also see how different Dynamic Tone Mapping (DTM) settings impact the EOTF here.

    6.8
    Picture Quality
    SDR Brightness
    Real Scene Peak Brightness
    311 cd/m²
    Peak 2% Window
    396 cd/m²
    Peak 10% Window
    390 cd/m²
    Peak 25% Window
    355 cd/m²
    Peak 50% Window
    312 cd/m²
    Peak 100% Window
    162 cd/m²
    Sustained 2% Window
    387 cd/m²
    Sustained 10% Window
    377 cd/m²
    Sustained 25% Window
    341 cd/m²
    Sustained 50% Window
    298 cd/m²
    Sustained 100% Window
    155 cd/m²
    Automatic Brightness Limiting (ABL)
    0.057

    The TV has okay SDR peak brightness. It's enough to fight glare if you have a few small lights around, but scenes with larger areas of bright colors, like in hockey or basketball, are dimmer due to the Automatic Brightness Limiter (ABL).

    These measurements are after calibration with the following settings:

    • Picture Mode: Expert (Dark Space, Night)
    • OLED Pixel Brightness: 100
    • Adjust Contrast: 85
    • Peak Brightness: High
    • Color Temperature: Warm 50

    Setting Peak Brightness to 'Off' reduces the aggressiveness of the ABL but also lowers the peak brightness to about 260 cd/m² in most scenes. Setting the input to Game Mode or PC Mode, or setting the 4:4:4 Pass Through option to 'On', locks the Peak Brightness option to 'Off'. Here are measurements with the setting disabled:

    • Peak 2% Window: 268 cd/m²
    • Peak 10% Window: 269 cd/m²
    • Peak 25% Window: 270 cd/m²
    • Peak 50% Window: 268 cd/m²
    • Peak 100% Window: 160 cd/m²
    • Sustained 2% Window: 259 cd/m²
    • Sustained 10% Window: 258 cd/m²
    • Sustained 25% Window: 258 cd/m²
    • Sustained 50% Window: 256 cd/m²
    • Sustained 100% Window: 155 cd/m²

    8.8
    Picture Quality
    Color Gamut
    Wide Color Gamut
    Yes
    DCI P3 xy
    98.69%
    DCI P3 uv
    99.62%
    Rec 2020 xy
    73.09%
    Rec 2020 uv
    77.66%

    The LG B3 has an excellent HDR color gamut. It has fantastic DCI-P3 coverage, which is the most common color space used in most HDR content, and has good coverage of the wider Rec. 2020 color space. However, tone mapping is off with both, resulting in inaccurate colors, especially with green between both color spaces.

    7.9
    Picture Quality
    Color Volume
    1,000 cd/m² DCI P3 Coverage ITP
    68.5%
    10,000 cd/m² Rec 2020 Coverage ITP
    33.9%
    White Luminance
    607 cd/m²
    Red Luminance
    88 cd/m²
    Green Luminance
    311 cd/m²
    Blue Luminance
    35 cd/m²
    Cyan Luminance
    338 cd/m²
    Magenta Luminance
    114 cd/m²
    Yellow Luminance
    375 cd/m²

    The LG B3 has very good color volume. It displays dark and bright colors well, but its lower peak brightness limits it when it comes to displaying very bright colors. Like all OLEDs, it excels at dark, saturated colors.

    8.6
    Picture Quality
    Pre Calibration
    White Balance dE
    1.91
    Color dE
    1.68
    Gamma
    2.27
    Color Temperature
    6,865 K
    Picture Mode
    Expert (Dark Space)
    Color Temp Setting
    Warm 50
    Gamma Setting
    2.2

    The LG B3 has excellent pre-calibration accuracy in SDR. It displays colors well and has minimal inaccuracies to the white balance. However, the color temperature is on the cold side, giving the image a blue tint, and gamma is slightly off from the 2.2 target for moderately-lit rooms, as most scenes are a bit too dark, more so in very dark scenes.

    9.5
    Picture Quality
    Post Calibration
    White Balance dE
    0.29
    Color dE
    1.06
    Gamma
    2.20
    Color Temperature
    6,526 K
    White Balance Calibration
    22 point
    Color Calibration
    Yes

    The TV has incredible accuracy after calibration. It's easy to calibrate thanks to its already excellent pre-calibration accuracy. The grayscale was easy to configure, and all white balance issues are gone. The colors are now fantastic, and the TV's gamma and color temperature are now exactly on target.

    You can see the full calibration settings used here.

    8.4
    Picture Quality
    Gray Uniformity
    50% Std. Dev.
    1.392%
    50% DSE
    0.141%
    5% Std. Dev.
    0.621%
    5% DSE
    0.101%

    The TV has great gray uniformity. The screen is uniform throughout, and there isn't any noticeable dirty screen effect in the center, which is good for watching sports or using it as a PC monitor. Like any OLED, there are faint vertical lines in near-dark scenes, but they're hard to notice unless you look for them.

    10
    Picture Quality
    Black Uniformity
    Std. Dev.
    N/A
    Native Std. Dev.
    0.074%

    Black uniformity on OLEDs is perfect due to their self-emissive pixels; there's no blooming or halo effect around bright objects.

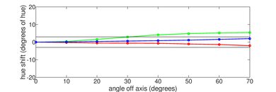
    9.3
    Picture Quality
    Viewing Angle
    Color Washout
    64°
    Color Shift
    31°
    Brightness Loss
    70°
    Black Level Raise
    70°
    Gamma Shift
    70°

    The TV has an outstanding viewing angle. Colors shift slightly when you watch the screen at an angle, but it's minor, and you really won't notice this in practice. You certainly won't have any issues using it in a wide seating area.

    9.3
    Picture Quality
    Reflections
    Screen Finish
    Glossy
    Total Reflections
    1.4%
    Indirect Reflections
    0.1%
    Calculated Direct Reflections
    1.3%

    The LG B3 has fantastic reflection handling. The intensity of bright lights is significantly reduced, and overall glare isn't an issue for this TV.

    7.3
    Picture Quality
    HDR Native Gradient
    100% Black to 50% Gray
    6.0
    50% Gray to 100% White
    6.0
    100% Black to 50% Red
    8.0
    50% Red to 100% Red
    10
    100% Black to 50% Green
    6.0
    50% Green to 100% Green
    6.0
    100% Black to 50% Blue
    8.0
    50% Blue to 100% Blue
    8.0

    The TV has decent gradient handling in HDR. There's some noticeable banding in the entire range of grays and greens, but other color gradients are smooth overall.

    8.1
    Picture Quality
    Low-Quality Content Smoothing
    Smoothing
    8.5
    Detail Preservation
    7.0

    The TV has great low-quality content smoothing. There's no noticeable macro-blocking in dark areas, but some fine details are lost in the process.

    7.5
    Picture Quality
    Upscaling: Sharpness Processing

    The LG B3 has good sharpness processing with low-resolution content, but it's not as good as the Sony A75L OLED. Some small details are lost, but the image is upscaled well overall.

    These results are with the following processing settings:

    • Adjust Sharpness: 16
    • Super Resolution: High

    Picture Quality
    Pixels
    Subpixel Layout
    RWBG
    Type OLED
    Sub-Type
    WOLED

    The LG B3 uses an RWBG subpixel layout; all four pixels are never on simultaneously. You can see the green pixel here. Note that this TV's subpixel layout causes issues with text display on Windows, as ClearType isn't well adjusted to non-RGB subpixel layouts.

    Motion
    9.8
    Motion
    Response Time
    80% Response Time
    0.2 ms
    100% Response Time
    3.1 ms

    Like all OLED displays, this TV has a nearly instantaneous response time, resulting in incredibly clear motion with minimal ghosting behind fast-moving objects. There's some overshoot in shadow details, but it's minor and not noticeable.

    10
    Motion
    Flicker-Free
    Flicker-Free
    No
    PWM Dimming Frequency
    0 Hz

    The TV isn't technically flicker-free as there's a slight dip in brightness every 8 ms, which coincides with the 120Hz refresh rate of the display. It's very different from pulse width modulation flicker (PWM) on TVs with LED backlights and isn't noticeable.

    Motion
    Black Frame Insertion (BFI)
    Optional BFI
    Yes
    Min Flicker For 60 fps
    60 Hz
    60Hz For 60 fps
    Yes
    120Hz For 120 fps
    No
    Min Flicker for 60 fps in Game Mode
    60 Hz

    The LG B3 OLED has an optional black frame insertion feature (BFI) that reduces the appearance of persistence blur caused by the TV's nearly instantaneous pixel response time. Unfortunately, it can only flicker at 60Hz, which isn't ideal for 120 fps games. BFI also reduces the TV's perceived brightness, which is noticeable in practice.

    Motion
    Motion Interpolation
    Motion Interpolation (30 fps)
    Yes
    Motion Interpolation (60 fps)
    Yes

    This LG B3 OLED TV offers an optional motion interpolation feature to improve the appearance of motion. Like most TVs, it struggles with fast-paced content, resulting in noticeable artifacts and loss of detail. These issues are noticeable even with lower settings, but it's not nearly as obvious.

    5.2
    Motion
    Stutter
    Frame Hold Time @ 24 fps
    38.6 ms
    Frame Hold Time @ 60 fps
    13.6 ms

    Like all OLEDs, there's noticeable stutter with low frame rate content due to their incredibly fast pixel response time. It's very noticeable in slow panning shots in movies, although some people are more sensitive to it than others. The black frame insertion feature and the motion interpolation feature can help reduce the appearance of stutter, but they both have their drawbacks.

    10
    Motion
    24p Judder
    Judder-Free 24p
    Yes
    Judder-Free 24p via 60p
    Yes
    Judder-Free 24p via 60i
    Yes
    Judder-Free 24p via Native Apps
    Yes

    The TV can remove judder when watching 24p movies or TV shows, even from sources that can only send a 60Hz signal, like a cable box. Sadly, movies aren't judder-free when BFI is enabled.

    9.4
    Motion
    Variable Refresh Rate
    Native Refresh Rate
    120 Hz
    Variable Refresh Rate
    Yes
    HDMI Forum VRR
    Yes
    FreeSync
    Yes
    G-SYNC Compatible
    Yes (NVIDIA Certified)
    4k VRR Maximum
    120 Hz
    4k VRR Minimum
    < 20 Hz
    1080p VRR Maximum
    120 Hz
    1080p VRR Minimum
    < 20 Hz
    1440p VRR Maximum
    120 Hz
    1440p VRR Minimum
    < 20 Hz
    VRR + Local Dimming No Local Dimming

    The TV supports FreeSync and HDMI Forum VRR and is G-SYNC Compatible certified, ensuring a nearly tear-free gaming experience from any VRR-enabled source. It works well across a wide refresh rate range, even when it drops very low, as the TV supports Low Framerate Compensation (LFC).

    Inputs
    9.7
    Inputs
    Input Lag
    1080p @ 60Hz
    10.8 ms
    1080p @ 60Hz Outside Game Mode
    156.1 ms
    1080p @ 120Hz
    5.7 ms
    1080p @ 144Hz
    N/A
    1440p @ 60Hz
    11.0 ms
    1440p @ 120Hz
    5.7 ms
    1440p @ 144Hz
    N/A
    4k @ 60Hz
    10.8 ms
    4k @ 60Hz + 10-Bit HDR
    10.8 ms
    4k @ 60Hz @ 4:4:4
    10.8 ms
    4k @ 60Hz Outside Game Mode
    155.0 ms
    4k @ 60Hz With Interpolation
    147.5 ms
    4k @ 120Hz
    5.7 ms
    4k @ 144Hz
    N/A
    8k @ 60Hz
    N/A

    The TV has low input lag, resulting in a very responsive gaming experience. Although it's still not as good as high-end gaming monitors, it's better than most TVs and good enough for most gamers. These results are with the Boost Mode setting set to 'On' in the 'Game Optimizer' menu.

    9.6
    Inputs
    Supported Resolutions
    Resolution 4k
    480p @ 59.94Hz (Widescreen)
    Yes
    720p @ 59.94Hz
    Yes
    1080p @ 60Hz @ 4:4:4
    Yes
    1080p @ 120Hz
    Yes
    1080p @ 144Hz
    No
    1440p @ 60Hz
    Yes (forced resolution required)
    1440p @ 120Hz
    Yes
    1440p @ 144Hz
    No
    4k @ 60Hz
    Yes
    4k @ 60Hz @ 4:4:4
    Yes
    4k @ 120Hz
    Yes
    4k @ 120Hz @ 4:4:4
    Yes
    4k @ 144Hz
    No
    8k @ 30Hz or 24Hz
    No
    8k @ 60Hz
    No

    The LG B3 OLED supports most common resolutions up to 4k @ 120Hz on HDMI ports 3 and 4. While there are some text clarity issues due to its subpixel layout (see the Pixels section for more information), it still displays chroma 4:4:4 properly with all supported resolutions. HDMI ports 1 and 2 are limited to HDMI 2.0 bandwidth and don't support certain signals, like 4k @ 120Hz with chroma 4:4:4.

    Inputs
    PS5 Compatibility
    Auto Low Latency Mode (ALLM)
    Yes
    4k @ 120Hz
    Yes
    1440p @ 120Hz
    Yes
    1080p @ 120Hz
    Yes
    HDR
    Yes
    VRR
    Yes

    This TV is fully compatible with everything the PS5 supports on HDMI ports 3 and 4, like 1440p @ 120Hz and 4K @ 120Hz, as well as HDMI Forum VRR.

    Inputs
    Xbox Series X|S Compatibility
    Auto Low Latency Mode (ALLM)
    Yes
    4k @ 120Hz
    Yes
    1440p @ 120Hz
    Yes
    1080p @ 120Hz
    Yes
    HDR
    Yes
    VRR
    Yes

    This TV is fully compatible with everything the Xbox Series X|S offers on HDMI ports 3 and 4, including 1440p @ 120Hz, 4k @ 120Hz, Dolby Vision gaming @ 120Hz, HDMI Forum VRR, and FreeSync.

    Inputs
    Inputs Specifications
    HDR10
    Yes
    HDR10+
    No
    Dolby Vision
    Yes
    HLG
    Yes
    HDMI 2.0 Full Bandwidth
    Yes (HDMI 1,2,3,4)
    HDMI 2.1 Class Bandwidth
    Yes (HDMI 3,4)
    CEC Yes
    HDCP 2.2 Yes (HDMI 1,2,3,4)
    ATSC Tuner
    1.0
    USB 3.0
    No
    Variable Analog Audio Out No
    Wi-Fi Support Yes (2.4 GHz, 5 GHz)

    The TV has two HDMI 2.1 bandwidth ports, but one of them also doubles as the eARC/ARC port. That means that when a soundbar is connected to the TV, you only have one HDMI 2.1 bandwidth port left for your high-speed devices. Sadly, the tuner only supports ATSC 1.0, so you can't use it for over-the-air 4k channels.

    Inputs
    Input Photos
    Inputs
    Total Inputs
    HDMI 4
    USB 2
    Digital Optical Audio Out 1
    Analog Audio Out 3.5mm 0
    Analog Audio Out RCA 0
    Component In 0
    Composite In 0
    Tuner (Cable/Ant) 1
    Ethernet 1
    DisplayPort 0
    IR In 0
    Inputs
    Audio Passthrough
    ARC/eARC Port
    eARC
    eARC: Dolby Atmos Over Dolby Digital Plus
    Yes
    eARC: Dolby Digital Plus 7.1
    Yes
    eARC: LPCM 7.1 Over Dolby MAT
    Yes
    eARC: Dolby TrueHD 7.1
    Yes
    eARC: DTS:X Over DTS-HD MA
    Yes
    eARC: DTS-HD Master Audio 7.1
    Yes
    eARC: LPCM Channels (Bitstream)
    7.1
    ARC: Dolby Digital 5.1
    Yes
    ARC: DTS 5.1
    Yes
    Optical: Dolby Digital 5.1
    Yes
    Optical: DTS 5.1
    Yes

    This TV supports eARC, allowing you to pass high-quality, uncompressed audio to a compatible receiver through an HDMI cable.

    Sound Quality
    7.0
    Sound Quality
    Frequency Response
    Low-Frequency Extension
    84.76 Hz
    Std. Dev. @ 70
    3.64 dB
    Std. Dev. @ 80
    3.67 dB
    Std. Dev. @ Max
    5.54 dB
    Max
    89.3 dB SPL
    Dynamic Range Compression
    3.76 dB

    The TV has a decent frequency response. It's good enough for the dialogue to sound clear and bright, but you need a dedicated subwoofer to have the best sound experience with proper bass.

    6.5
    Sound Quality
    Distortion
    Weighted THD @ 80
    0.165
    Weighted THD @ Max
    0.498
    IMD @ 80
    8.25%
    IMD @ Max
    20.55%

    The TV's handling of distortion is okay. The TV gets loud, but the speakers struggle to handle distortion when being fed multiple simultaneous frequencies, as seen in their high levels of intermodulation distortion. The TV performs better when dealing with distortion from individual fundamental frequencies (THD).

    Smart Features
    8.5
    Smart Features
    Interface
    Smart OS webOS
    Version 23
    Ease of Use
    Easy
    Smoothness
    Average
    Time Taken to Select YouTube
    2 s
    Time Taken to Change Backlight
    3 s
    Advanced Options
    Many

    The TV runs the 2023 version of LG's proprietary smart interface, webOS. The interface is fast and easy to use, and it supports user profiles, so you can customize the home page for different users.

    0
    Smart Features
    Ad-Free
    Ads
    Yes
    Opt-out
    No
    Suggested Content in Home
    No
    Opt-out of Suggested Content
    No

    Unfortunately, like almost all smart TVs, there are ads throughout the smart interface, and you can't fully disable them. There are two settings in the 'Home Settings' menu, namely the 'Home Promotion' and 'Content Recommendation' settings, which remove the top banner ads and suggested content from the home screen, but there's no way to remove ads from the apps page.

    8.0
    Smart Features
    Apps and Features
    App Selection
    Great
    App Smoothness
    Average
    Cast Capable
    Yes
    USB Drive Playback
    Yes
    USB Drive HDR Playback
    Yes
    HDR in Netflix
    Yes
    HDR in YouTube
    Yes

    Like other webOS-equipped TVs, the LG B3 has a great selection of apps, and you're sure to find your favorite content.

    9.0
    Smart Features
    Remote
    Size
    Large
    Voice Control
    Many Features
    CEC Menu Control
    Yes
    Other Smart Features
    Yes
    Remote App LG ThinQ

    The LG Magic Remote has a point-and-press feature that makes it easy to navigate through the menu. The built-in mic allows you to ask it to change inputs, open apps, and search for content. Unlike the LG C3 OLED, there's no mic built into the TV for hands-free control.

    Smart Features
    TV Controls

    The button is underneath the center of the TV, allowing you to turn the TV on/off, change inputs, adjust the volume, and switch channels.

    Smart Features
    In The Box

    • Remote
    • 2x AA batteries
    • User manuals and stickers

    Smart Features
    Misc
    Power Consumption 91 W
    Power Consumption (Max) 181 W
    Firmware 03.11.55