Get insider access
Preferred store
Your browser is not supported or outdated so some features of the site might not be available.

Hisense H9G TV Review

Tested using Methodology v1.6
Review updated Nov 11, 2020 at 09:53 am
Latest change: Retest Nov 20, 2024 at 07:20 am
Hisense H9G Picture
8.4
Mixed Usage
Value for price beaten by
: Not at the latest test bench
8.7
Movies
Value for price beaten by
: Not at the latest test bench
8.2
TV Shows
Value for price beaten by
: Not at the latest test bench
8.2
Sports
Value for price beaten by
: Not at the latest test bench
8.6
Video Games
Value for price beaten by
: Not at the latest test bench
8.6
HDR Movies
Value for price beaten by
: Not at the latest test bench
8.5
HDR Gaming
Value for price beaten by
: Not at the latest test bench
8.0
PC Monitor
Value for price beaten by
: Not at the latest test bench
This TV was replaced by the Hisense U8G

The Hisense H9G is a flagship 4k LED TV that offers impressive performance. It provides good value for its price and competes with many other high-end, more expensive options in 2020. It's a pleasant upgrade over its predecessor, the Hisense H9F, and delivers a satisfying HDR experience. It gets bright enough to make highlights pop in HDR and displays a wide color gamut. It's an excellent choice for viewing content in dark rooms because it has an outstanding contrast ratio and incredible black uniformity. Even if you use it in bright environments, it gets bright enough to combat glare and has excellent reflection handling. However, you need to sit directly in front to get the best viewing experience possible because it has narrow viewing angles. Unfortunately, it doesn't have many gaming features like variable refresh rate (VRR) support, and despite having a 120Hz panel, it doesn't properly display any 120Hz signal.

Our Verdict

8.4 Mixed Usage

The Hisense H9G is an impressive overall TV. It's well-rounded and offers great performance for most uses. It's an amazing choice for watching movies in the dark as it has an outstanding contrast ratio and a great full-array local dimming feature. HDR content looks great because it gets bright enough to bring out highlights and displays a wide color gamut. Also, gamers should appreciate its very quick response time and really low input lag. Unfortunately, it's not suggested for wide seating arrangements due to its narrow viewing angles.

Pros
  • Outstanding contrast ratio.
  • Makes highlights pop in HDR.
  • Amazing response time.
  • Excellent reflection handling.
Cons
  • Narrow viewing angles.
  • No VRR support.
8.7 Movies

The Hisense H9G is amazing for watching movies. It has an outstanding contrast ratio, and combined with its great local dimming feature, it displays extremely deep blacks. It upscales lower-resolution content without any issues and can remove judder from any source, such as native apps or Blu-ray players. Sadly, because of the TV's fast response time, lower-frame rate content appears to stutter.

Pros
  • Outstanding contrast ratio.
  • Incredible black uniformity.
  • Upscales lower-resolution content without any issues.
Cons
  • Lower-frame content stutters.
8.2 TV Shows

The Hisense H9G is great for watching TV shows. It gets extremely bright, and it has excellent reflection handling, so it performs well even in the brightest of rooms. Sadly, it has narrow viewing angles, so it's not ideal for watching your favorite show with the entire family. On the upside, it upscales 720p and 1080p content well, and the Google Play Store has a ton of apps available to download.

Pros
  • Gets bright enough to combat glare.
  • Excellent reflection handling.
Cons
  • Narrow viewing angles.
8.2 Sports

The Hisense H9G is great for watching sports. It has an amazing response time, so fast-moving content looks great. If you watch sports in a bright room, it easily gets bright enough to combat glare and has excellent reflection handling. It also upscales 720p content, such as from cable boxes, without any issues. Sadly, watching the big game with a large group of friends isn't suggested because it has narrow viewing angles.

Pros
  • Gets bright enough to combat glare.
  • Amazing response time.
  • Excellent reflection handling.
Cons
  • Narrow viewing angles.
8.6 Video Games

The Hisense H9G is impressive for gaming. It has a really low input lag, an amazing response time, and a Black Frame Insertion to clear up motion blur. Sadly, it doesn't have many extra gaming features like VRR support. However, it's a great choice for dark-room gaming because it has an outstanding contrast ratio and incredible black uniformity.

Pros
  • Outstanding contrast ratio.
  • Amazing response time.
  • Really low input lag.
Cons
  • No VRR support.
8.6 HDR Movies

The Hisense H9G is excellent for watching HDR movies. It supports HDR10, HDR10+, and Dolby Vision. It displays a wide color gamut for HDR content and gets bright enough to truly bring out highlights. Dark-room viewing is excellent as it has a high native contrast ratio and a great local dimming to produce deep blacks. Sadly, lower-frame rate content appears to stutter because of its fast response time.

Pros
  • Outstanding contrast ratio.
  • Makes highlights pop in HDR.
  • Incredible black uniformity.
Cons
  • Lower-frame content stutters.
8.5 HDR Gaming

The Hisense H9G is great for HDR gaming. It has a low input lag, fast response time, and HDR content looks great because it gets bright enough to truly bring out highlights. Sadly, it doesn't have many gaming features like VRR support. However, it's able to display extremely deep blacks thanks to its outstanding contrast ratio and full-array local dimming feature.

Pros
  • Makes highlights pop in HDR.
  • Amazing response time.
  • Really low input lag.
Cons
  • No VRR support.
8.0 PC Monitor

The Hisense H9G is good to use as a PC monitor. It has a low input lag and displays proper chroma 4:4:4, which is important for reading text. Sadly, it has narrow viewing angles, so the edges of the screen may appear darker if you sit too close. On the upside, it's a great choice to use in bright rooms as it gets bright enough to combat glare and has excellent reflection handling.

Pros
  • Gets bright enough to combat glare.
  • Really low input lag.
Cons
  • Narrow viewing angles.
  • 8.4 Mixed Usage
  • 8.7 Movies
  • 8.2 TV Shows
  • 8.2 Sports
  • 8.6 Video Games
  • 8.6 HDR Movies
  • 8.5 HDR Gaming
  • 8.0 PC Monitor
  1. Updated Nov 20, 2024: We uploaded the latest brightness measurements and uniformity photos for the Accelerated Longevity Test.
  2. Updated Sep 11, 2024: We uploaded the latest brightness measurements and uniformity photos for the Accelerated Longevity Test.
  3. Updated Jul 17, 2024: We uploaded the latest brightness measurements and uniformity photos for the Accelerated Longevity Test.
  4. Updated May 02, 2024: We uploaded the latest brightness measurements and uniformity photos for the Accelerated Longevity Test.
  5. Updated Feb 13, 2024: We uploaded the latest brightness measurements and uniformity photos for the Accelerated Longevity Test.
  6. Updated Dec 05, 2023: We uploaded the latest brightness measurements and uniformity photos for the Accelerated Longevity Test.
  7. Updated Oct 12, 2023: We uploaded the latest brightness measurements and uniformity photos for the Accelerated Longevity Test.
  8. Updated Aug 09, 2023: We uploaded the latest brightness measurements and uniformity photos for the Accelerated Longevity Test.
  9. Updated Jun 07, 2023: We uploaded the latest brightness measurements and uniformity photos for the Accelerated Longevity Test.
  10. Updated Apr 03, 2023: We uploaded the brightness measurements and uniformity photos after running the TV for four months in our Accelerated Longevity Test.
  11. Updated Feb 06, 2023: We uploaded the brightness measurements and uniformity photos after running the TV for two months in our Accelerated Longevity Test.
  12. Updated Nov 17, 2022: We uploaded the initial brightness measurements and uniformity photos for the Accelerated Longevity Test.
  13. Updated Oct 27, 2021: The latest firmware update added ALLM support.
  14. Updated Aug 16, 2021: We rechecked the red ghosting issue with varied content.
  15. Updated Jul 08, 2021: We've added two new videos demonstrating the local dimming feature with real content.
  16. Updated Mar 01, 2021: We noticed there are now ads on the home page.
  17. Updated Mar 01, 2021: Verified that 1440p @ 60Hz is a forced resolution.
  18. Updated Mar 01, 2021: Converted to Test Bench 1.6.
  19. Updated Nov 11, 2020: Updated review for accuracy and clarity.
  20. Updated Aug 21, 2020: We confirmed HDR10+ support.
  21. Updated Aug 19, 2020: Review published.
  22. Updated Aug 14, 2020: Early access published.
  23. Updated Aug 05, 2020: Our testers have started testing this product.
  24. Updated Aug 05, 2020: The product has arrived in our lab, and our testers will start evaluating it soon.
  25. Updated Jul 24, 2020: The product has won our suggestion poll, so we'll buy and test it soon.
  26. Updated Jul 18, 2020: We've purchased the product and are waiting for it to arrive in our lab.

Differences Between Sizes And Variants

We tested the 65 inch Hisense H9G (65H9G) and we expect our results to be valid for the 55 inch (55H9G) model too. In Canada, this model is known as the Q9G, and we expect it to perform the same.

Size US Model Canada Model
55" 55H9G 55Q9G
65" 65H9G 65Q9G

If someone comes across a different type of panel or if their Hisense H9G doesn't correspond to our review, let us know and we'll update the review. Note that some tests such as the gray uniformity may vary between individual units.

The unit we reviewed was manufactured in May 2020, and you can see the label here.

Compared To Other TVs

The Hisense H9G is an impressive flagship TV with better overall performance than some more expensive TVs like the Samsung Q70/Q70T QLED. It has one of the best contrast ratios we've seen on an LED TV, and it gets extremely bright. Although it doesn't have accurate colors out-of-the-box like the Sony X950H, most people should be happy with this TV, especially for its price. Also, see our recommendations for the best budget TVs, the best 65 inch TVs, and the best outdoor TVs.

Hisense U8G
55" 65"

The Hisense H9G and the Hisense U8G are very similar overall. The newer U8G has much better accuracy out of the box, but the H9G we tested has better black uniformity, better contrast, and better gray uniformity, but those tend to all vary between units. The U8G runs a more recent version of Android TV, and it's much smoother and, unlike the H9G, 120Hz signals are displayed correctly, with no dropped frames. The U8G also has 2 HDMI 2.1 ports, which is new this year.

Hisense H8G
50" 55" 65" 75"

The Hisense H9G is much better than the Hisense H8G. The H9G has a much higher contrast ratio, it gets much brighter, and it handles reflections better. It also has a much quicker response time and it has better built-in speakers. However, the H8G has better out-of-the-box color accuracy and it has a lower input lag.

Sony X900H
55" 65" 75" 85"

The Hisense H9G is somewhat better overall than the Sony X900H. The Hisense has a better contrast ratio, gets brighter, has much better reflection handling, and has a quicker response time. That said, the Sony has much better out-of-the-box color accuracy, it's better-built, and it has better gradient handling.

Hisense U7G
55" 65" 75"

The Hisense H9G is better than the Hisense U7G for most users. The H9G has better reflection handling, better black uniformity, and a better local dimming feature. The H9G also has a faster response time and it's brighter with some content. On the other hand, the U7G might be better for some gamers, as it has two HDMI 2.1 ports for next-gen consoles or PCs with recent graphics cards, and it supports FreeSync.

LG CX OLED
48" 55" 65" 77"

The LG CX OLED is better overall than the Hisense H9G. The LG uses OLED technology to individually turn off pixels, resulting in an infinite contrast ratio. It also has much wider viewing angles, better color accuracy, a wider color gamut, and more gaming features. However, the Hisense gets much brighter and it doesn't have the risk of permanent burn-in.

TCL 5 Series/S535 2020 QLED
50" 55" 65" 75"

The Hisense H9G is much better than the TCL 5 Series/S535 2020. The Hisense gets much brighter, so HDR content pops the way it should. It also has much better reflection handling, a quicker response time, and a 120Hz panel. On the other hand, the TCL displays a wider color gamut, it has lower input lag, and better out-of-the-box color accuracy.

Hisense U6G
50" 55" 65" 75"

The Hisense H9G is better than the Hisense U6G. The H9G is much brighter, especially in HDR, has a better local dimming feature, and can remove judder from any source. The H9G also has a higher refresh rate, making it a slightly better choice for gamers. On the other hand, the interface of the U6G is faster and a bit smoother.

Sony X90J
50" 55" 65" 75"

The Sony X90J and the Hisense H9G are both great VA panel TVs, so choosing between them depends on your usage. If you mainly plan on watching movies or HDR content, the Hisense is a better choice because it has a wider color gamut, a higher contrast ratio, and it gets brighter. However, if you want to game, the Sony is better because it has HDMI 2.1 support for newer consoles like the Xbox Series X and PS5, and it has VRR support.

LG C1 OLED
48" 55" 65" 77" 83"

The LG C1 OLED is much better than the Hisense H9G. The LG delivers much better dark room performance thanks to its near-infinite contrast ratio, resulting in deep blacks with perfect uniformity. The LG is also better for gaming because it has advanced features like HDMI 2.1 bandwidth, meaning you can play 4k games up to 120Hz, and it also has VRR support to reduce screen tearing. The Hisense is a lot brighter, so it can handle more glare in a bright room, but it delivers worse picture quality overall.

Samsung Q60/Q60A QLED
32" 43" 50" 55" 60" 65" 70" 75" 85"

The Hisense H9G is much better than the Samsung Q60/Q60A QLED for most uses. The Hisense delivers better picture quality because it has a significantly higher contrast ratio, full-array local dimming, and gets a lot brighter, especially in HDR. It has better response times to deliver a clearer image in fast-moving scenes; however, you may also notice more stuttering in lower frame rate content. It has a higher refresh rate of 120Hz, but since it lacks HDMI 2.1 ports, it can only accept a 4k @ 60Hz signal. Unfortunately, neither TV support VRR. As for the smart features, Samsung's Tizen OS is easier to use and runs smoother than Android TV on the Hisense, but the Google Play Store likely has a larger selection of apps.

TCL 6 Series/R635 2020 QLED
55" 65" 75"

The Hisense H9G is much better than the TCL 6 Series/R635 2020. The Hisense has a better local dimming feature, handles reflections much better, has a quicker response time, and has a lower input lag. However, the TCL displays a wider color gamut and has better built-in speakers.

TCL 6 Series/R646 2021 QLED
55" 65" 75"

The TCL 6 Series/R646 2021 QLED and the Hisense H9G are both great. They each have VA panels that display deep blacks, but the local dimming feature on the Hisense is much better at improving the picture quality in dark scenes with minimal blooming. Motion looks smoother on the Hisense thanks to the quicker response time, but the TCL has more gaming features like two HDMI 2.1 inputs and VRR support, meaning you can use the current-gen gaming consoles to their full capabilities. The Hisense is a better choice for watching DVDs because it doesn't have issues upscaling lower-resolution content the way the TCL has.

Samsung The Frame 2021
43" 50" 55" 65" 75" 85"

The Hisense H9G is much better than the Samsung The Frame 2021 for most uses. The Hisense has a higher contrast ratio, full-array local dimming, and a wider color gamut. It also has better reflection handling and gets significantly brighter. Its response time is faster, but unlike the Samsung, it's limited to a 60Hz refresh rate at 4k because it doesn't have any HDMI 2.1 ports. The Samsung has lower input lag, and it supports VRR to reduce screen tearing.

LG GX OLED
55" 65" 77"

The LG GX OLED is better overall than the Hisense H9G, but they have different panel types. The LG's OLED panel turns off individual pixels, resulting in an infinite contrast ratio and perfect black uniformity. It has much wider viewing angles and has gaming features like HDMI 2.1 and VRR support. However, the Hisense has an LED panel that gets much brighter, which is great for HDR content, and it doesn't suffer from the risk of permanent burn-in.

Vizio P Series Quantum 2020
65" 75"

Overall, the Hisense H9G is much better than the Vizio. The Hisense has a higher contrast ratio, its local dimming performs better, and it gets brighter in SDR and HDR. It also has a faster response time, and it's cheaper. However, the Vizio has better color accuracy out-of-the-box, a much better HDR color gamut, and lower input lag.

Samsung The Terrace
55" 65" 75"

The Samsung The Terrace and the Hisense H9G are very similar overall. The Samsung gets brighter, and its brightness stays relatively consistent across different content. The Samsung also has better color accuracy out-of-the-box and much lower input lag. On the flip side, the Hisense has a better local dimming feature and a significantly faster response time.

Samsung Q80/Q80T QLED
49" 50" 55" 65" 75" 85"

The Samsung Q80/Q80T QLED and the Hisense H9G are two very similar-performing TVs, but the Samsung has a slight edge because it's more versatile. The Samsung has great gaming features like VRR support and a low input lag, and it has also wider viewing angles, better color accuracy, and handles reflections better. On the other hand, the Hisense has a much better contrast ratio, it has a better full-array local dimming feature, so it's better for dark room viewing.

Sony X950H
49" 55" 65" 75" 85"

The Hisense H9G is a bit better overall than the Sony X950H. The Hisense has a much better contrast ratio, it has a much quicker response time, and a lower input lag. However, the Sony has much better out-of-the-box color accuracy, it gets brighter in HDR, and it handles reflections better.

Vizio P Series Quantum 2019
65" 75"

The Hisense H9G is better overall than the Vizio P Series Quantum 2019. The Hisense has a better contrast ratio, it gets much brighter, it does a better job at upscaling lower-resolution content, and it has a lower input lag. However, the Vizio has better out-of-the-box color accuracy and it displays a much wider color gamut.

TCL 6 Series/R625 2019
55" 65"

The Hisense H9G is better overall than the TCL 6 Series/R625 2019. The Hisense is much brighter, it has a better contrast ratio, it has a much quicker response time, and it handles gradients better. However, the TCL has a wider color gamut and a lower input lag.

+ Show more

Video

Test Results

perceptual testing image
Design
Design
Style
Curved No

The Hisense H9G has a good design, a nice upgrade over the Hisense H9F. It has the same unique center-mounted stand, but the back has a new etched pattern that looks like a checkerboard. There are tracks in the back for cable management, and it has hooks to keep your setup clean. Overall, the borderless design looks good in any setting.

Design
Accelerated Longevity Test
Uniformity Pictures
Design
Stand

The metal stand is a bit bigger than the stand on the Hisense H9F, but it has the same shape. The stand is solid and the TV doesn't wobble much.

Footprint of the 65 inch stand: 35.2" x 13.4".

Design
Back
Wall Mount VESA 400x400

The back panel is completely plastic and has a textured checkerboard-like finish to it. The Hisense H9G has tracks on the back panel and clips on the stand for cable management, which is a nice improvement over the Hisense H9F.

Design
Borders
Borders 0.35" (0.9 cm)

The borders are thin and aren't distracting.

Design
Thickness
Max Thickness 3.03" (7.7 cm)

This TV isn't very thick and shouldn't stick out much when wall-mounted.

7.5
Design
Build Quality

The Hisense H9G has a good build quality. The plastic on the back is solid and there isn't much flex, except for near the inputs, where the plastic bends a bit more. The border around the TV is metal, giving it a more premium look. Overall, the TV is sturdy, and there aren't any issues.

Picture Quality
9.3
Picture Quality
Contrast
Native Contrast
6,897 : 1
Contrast with local dimming
10,411 : 1

The Hisense H9G has an outstanding contrast ratio, which is expected from a VA panel. The local dimming feature really improves the contrast and the TV displays extremely deep blacks. Note that contrast may vary between units.

8.8
Picture Quality
SDR Brightness
Real Scene Peak Brightness
619 cd/m²
Peak 2% Window
845 cd/m²
Peak 10% Window
1,307 cd/m²
Peak 25% Window
1,458 cd/m²
Peak 50% Window
908 cd/m²
Peak 100% Window
582 cd/m²
Sustained 2% Window
837 cd/m²
Sustained 10% Window
1,279 cd/m²
Sustained 25% Window
1,435 cd/m²
Sustained 50% Window
904 cd/m²
Sustained 100% Window
577 cd/m²
Automatic Brightness Limiting (ABL)
0.047

The Hisense H9G has amazing peak brightness and it easily gets bright enough to combat glare. This is a slight improvement over the Hisense H9F. Sadly, its brightness isn't very consistent across varied content, so if you're watching content with large, bright areas, like a hockey or basketball game, it's dimmer than with most other content.

We measured the brightness after calibration in the 'Theater Night' Picture Mode with the Backlight set to 'Max' and Local Dimming to 'High'.

If you don't care about image accuracy and want the brightest image possible, set the Picture Mode to 'Standard', Local Dimming to 'High', and Backlight to 'Max'. We were able to get 1,569 cd/m² in the 25% peak window test.

8.0
Picture Quality
Local Dimming
Local Dimming
Yes
Backlight
Full-Array

Update 07/08/2021: We've added two new videos demonstrating the local dimming feature with real content.

This TV has a great full-array local dimming feature. It handles zone transitions fairly well, and even though the zone transitions are noticeable with the test pattern, they aren't visible with real content. There's no black crush, and small details pop the way they should, and even though there's some minor blooming around bright objects, it's not very distracting. Subtitles get very bright, but there isn't any blooming around them. We did notice some blotching in the Star Wars opening crawl as it was trying to brighten each star and darken the space between them, and there was also some film grain during the opening of Stranger Things, which could be distracting. However, these are specific examples and shouldn't be common with most content.

We set Local Dimming to 'High' during testing.

8.0
Picture Quality
Local Dimming In Game Mode
Local Dimming
Yes
Backlight
Full-Array

Update 07/08/2021: We've added two new videos demonstrating the local dimming feature with real content.

The local dimming feature performs just as well in Game Mode as out of it.

8.2
Picture Quality
HDR Brightness
Real Scene Highlight
730 cd/m²
Peak 2% Window
860 cd/m²
Peak 10% Window
1,479 cd/m²
Peak 25% Window
1,757 cd/m²
Peak 50% Window
1,043 cd/m²
Peak 100% Window
649 cd/m²
Sustained 2% Window
853 cd/m²
Sustained 10% Window
1,455 cd/m²
Sustained 25% Window
1,728 cd/m²
Sustained 50% Window
1,037 cd/m²
Sustained 100% Window
646 cd/m²
Automatic Brightness Limiting (ABL)
0.051

The Hisense H9G has great HDR peak brightness, and it's much better than the lower-end Hisense H8G. It gets bright enough to bring out highlights in HDR, but like the SDR peak brightness, it's not very consistent with different content.

We measured the brightness before calibration in the 'HDR Theater' Picture Mode with Local Dimming set to 'High' and Backlight to 'Max'.

If you want the brightest image possible, set the Picture Mode to 'HDR Standard' and Backlight to 'Max' with Local Dimming on 'High'. We were able to get 1830 cd/m² in the 25% peak window test.

8.2
Picture Quality
HDR Brightness In Game Mode
Real Scene Highlight
738 cd/m²
Peak 2% Window
892 cd/m²
Peak 10% Window
1,417 cd/m²
Peak 25% Window
1,707 cd/m²
Peak 50% Window
976 cd/m²
Peak 100% Window
621 cd/m²
Sustained 2% Window
887 cd/m²
Sustained 10% Window
1,382 cd/m²
Sustained 25% Window
1,571 cd/m²
Sustained 50% Window
972 cd/m²
Sustained 100% Window
615 cd/m²
Automatic Brightness Limiting (ABL)
0.048
7.9
Picture Quality
Gray Uniformity
50% Std. Dev.
1.913%
50% DSE
0.178%
5% Std. Dev.
0.898%
5% DSE
0.084%

The Hisense H9G has good gray uniformity, but this may vary between units. The edges of the screen are a bit darker, and there's some very minor dirty screen effect visible in the center, which could be distracting during sports. The uniformity is much better in near-dark scenes.

9.6
Picture Quality
Black Uniformity
Native Std. Dev.
0.461%
Std. Dev. w/ L.D.
0.638%

The Hisense H9G has incredible black uniformity, much better than the Hisense H9F and the Hisense H8G, but this may vary between units. There's almost no visible blooming with or without local dimming enabled.

5.3
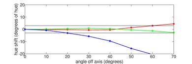
Picture Quality
Viewing Angle
Color Washout
23°
Color Shift
20°
Brightness Loss
36°
Black Level Raise
20°
Gamma Shift
17°

The Hisense H9G has poor viewing angles, which is expected from a VA panel. The image quickly loses accuracy when viewing off-center, and it's not suggested for wide seating arrangements.

8.8
Picture Quality
Reflections
Screen Finish
Glossy
Total Reflections
2.4%
Indirect Reflections
1.7%
Calculated Direct Reflections
0.7%

The reflection handling is excellent. This TV performs extremely well in moderately-lit rooms, and even in direct sunlight, the reflections don't get too distracting.

6.2
Picture Quality
Pre Calibration
White Balance dE
4.74
Color dE
3.31
Gamma
2.09
Color Temperature
5,806 K
Picture Mode
Theatre Night
Color Temp Setting
Low
Gamma Setting
2.2

The Hisense H9G has mediocre out-of-the-box accuracy, but this may vary between units. The white balance is off and most colors are inaccurate. The color temperature is warm, giving the image a red/yellow tint. Also, gamma doesn't follow the target well, and most scenes are over-brightened. We achieved a better gamma score of 2.29 by setting Gamma to '2.4', but that resulted in a worse color and white balance dE.

9.5
Picture Quality
Post Calibration
White Balance dE
0.55
Color dE
1.01
Gamma
2.20
Color Temperature
6,498 K
White Balance Calibration
20 point
Color Calibration
Yes

After calibration, the color accuracy is remarkable. There's almost no visible inaccuracies in colors and shades of gray, and the gamma is nearly perfect.

You can see our recommended settings here.

8.0
Picture Quality
480p Input

The Hisense H9G upscales 480p content, like from DVDs, well without any issues.

8.0
Picture Quality
720p Input

720p content, like from cable boxes, is upscaled well.

9.0
Picture Quality
1080p Input

1080p content looks almost as good as native 4k content.

10
Picture Quality
4k Input

4k content is displayed perfectly and there aren't any visible issues.

0
Picture Quality
8k Input

The Hisense H9G is a 4k TV that can't display an 8k input.

Picture Quality
Pixels
Type LED
Sub-Type
VA

This TV uses a BGR subpixel layout, which can affect the way text is rendered when using the TV as a PC monitor. You can read about it here.

8.0
Picture Quality
Color Gamut
Wide Color Gamut
Yes
DCI P3 xy
91.26%
DCI P3 uv
92.20%
Rec 2020 xy
67.08%
Rec 2020 uv
69.89%

The Hisense H9G has a great wide color gamut, but it's not as good as the Hisense H9F. It has outstanding coverage of the commonly-used DCI P3 color space, but it has limited coverage of the wider Rec. 2020 color space. If you want a similar TV with a wider color gamut, check out the TCL 6 Series/R635 2020 QLED.

The EOTF doesn't follow the target curve very well and most scenes are brighter than they should be. The EOTF in 'Game' mode follows the target better, as seen here.

If you find HDR too dim, set the Picture Mode to 'HDR Theater', Backlight to 'Max', Local Dimming to 'High', and Active Contrast to 'Medium'. This makes the image a bit brighter, as you can see this EOTF.

7.8
Picture Quality
Color Volume
Normalized DCI P3 Coverage ITP
86.7%
10,000 cd/m² DCI P3 Coverage ITP
50.1%
Normalized Rec 2020 Coverage ITP
68.5%
10,000 cd/m² Rec 2020 Coverage ITP
39.3%

The Hisense H9G has a very good color volume. It displays dark, saturated colors well due to the outstanding contrast ratio, but like most LED TVs, it can't display really bright blues.

8.2
Picture Quality
Gradient
Color Depth
10 Bit
Red (Std. Dev.)
0.099
Green (Std. Dev.)
0.108
Blue (Std. Dev.)
0.090
Gray (Std. Dev.)
0.114

This TV has great gradient handling. There's a bit of banding in the darker shades, such as gray, green, and red, but it shouldn't be very visible for most people. There isn't any setting to smooth out the gradients and the Noise Reduction and Digital Noise Reduction doesn't improve the gradients either.

10
Picture Quality
Temporary Image Retention
IR after 0 min recovery
0.00%
IR after 2 min recovery
0.00%
IR after 4 min recovery
0.00%
IR after 6 min recovery
0.00%
IR after 8 min recovery
0.00%
IR after 10 min recovery
0.00%

There are no signs of temporary image retention, but this may vary between units.

10
Picture Quality
Permanent Burn-In Risk
Permanent Burn-In Risk
No

We don't expect VA panels to experience permanent image retention, as the VA panel in our long-term test appears immune.

Motion
8.9
Motion
Response Time
80% Response Time
2.7 ms
100% Response Time
8.1 ms

Update 08/16/2021: We took another look at the red ghosting issue with this TV, trying different content from different sources. It's clearly present with some content, like The Crown on Netflix (1) (2), and we also noticed it in Daredevil. It's not noticeable in all content, and when playing games, it's hardly noticeable on our unit. The issue appears to vary between units, as some people online have reported TVs with no ghosting at all, while others have reported serious ghosting in all content. Compared to our Hisense U8G, it's much more severe and noticeable, but this could be unit variance.

The Hisense H9G has an amazing response time, much quicker than the Hisense H8G. There's still a bit of overshoot in some transitions and the response time is a bit slow in the 0-20% transition. This may lead to some motion artifacts in dark scenes, but for the most part, motion looks clear on this TV.

9.9
Motion
Flicker-Free
Flicker-Free
No
PWM Dimming Frequency
960 Hz

Although the backlight uses Pulse Width Modulation (PWM) to dim its backlight, the flicker frequency is extremely high and shouldn't bother most people. It still flickers at 960Hz even with the backlight at 0%, even though the graph at 0% appears different than the graphs at 50% and 100% backlight settings.

8.7
Motion
Black Frame Insertion (BFI)
Optional BFI
Yes
Min Flicker For 60 fps
60 Hz
60Hz For 60 fps
Yes
120Hz For 120 fps
No
Min Flicker for 60 fps in Game Mode
60 Hz

There's a Black Frame Insertion feature to help improve the appearance of motion. You need to enable Motion Clearness for it to work. It always flickers at 60Hz, and you can't set it to flicker at 120Hz. However, it suffers from bad crosstalk that results in some image duplication or motion artifacts. You can't change the Backlight setting with BFI enabled, and the image is noticeably bright.

Motion
Motion Interpolation
Motion Interpolation (30 fps)
Yes
Motion Interpolation (60 fps)
Yes

This TV can interpolate motion up to 120fps, which is known as the 'Soap Opera Effect'. Sadly, it doesn't stop interpolating even in busy scenes, so there are a lot of noticeable artifacts with fast-moving content.

See the settings for the motion interpolation feature here.

6.3
Motion
Stutter
Frame Hold Time @ 24 fps
33.6 ms
Frame Hold Time @ 60 fps
8.6 ms

Since the Hisense H9G has a good response time, there's noticeable stutter with lower-frame rate content as each frame is held longer.

10
Motion
24p Judder
Judder-Free 24p
Yes
Judder-Free 24p via 60p
Yes
Judder-Free 24p via 60i
Yes
Judder-Free 24p via Native Apps
Yes

The Hisense H9G can remove judder from any source, such as Blu-ray players or native apps. It automatically removes judder from native 24p and 24p via 60i sources. To remove judder from 24p via 60p sources, set the Motion Enhancement setting to 'Film'.

0
Motion
Variable Refresh Rate
Native Refresh Rate
120 Hz
Variable Refresh Rate
No
HDMI Forum VRR
No
FreeSync
No
G-SYNC Compatible
No
4k VRR Maximum
N/A
4k VRR Minimum
No VRR support
1080p VRR Maximum
N/A
1080p VRR Minimum
No VRR support
1440p VRR Maximum
N/A
1440p VRR Minimum
No VRR support
VRR Supported Connectors
No VRR support

The Hisense H9G doesn't support any variable refresh rate technology. The new model of this TV, the Hisense U8G, supports FreeSync, and 120Hz signals work properly.

Inputs
9.4
Inputs
Input Lag
1080p @ 60Hz
14.9 ms
1080p @ 60Hz Outside Game Mode
127.3 ms
1440p @ 60Hz
15.1 ms
4k @ 60Hz
15.1 ms
4k @ 60Hz + 10-Bit HDR
15.1 ms
4k @ 60Hz @ 4:4:4
15.1 ms
4k @ 60Hz Outside Game Mode
127.4 ms
4k @ 60Hz With Interpolation
119.6 ms
8k @ 60Hz
N/A
1080p @ 120Hz
N/A
1440p @ 120Hz
N/A
4k @ 120Hz
N/A
1080p with Variable Refresh Rate
N/A
1440p with VRR
N/A
4k with VRR
N/A
8k with VRR
N/A

The Hisense H9G has excellent low input lag and should please most gamers, but it's not as low as the Hisense H8G. To achieve the lowest input lag possible, for whether you're gaming or using it as a PC monitor, set the Picture Mode to 'Game'. Sadly, the TV doesn't automatically change picture modes when you start playing a game.

8.3
Inputs
Supported Resolutions
Resolution 4k
1080p @ 60Hz @ 4:4:4
Yes
1080p @ 120Hz
No
1440p @ 60Hz
Yes (forced resolution required)
1440p @ 120Hz
No
4k @ 60Hz
Yes
4k @ 60Hz @ 4:4:4
Yes
4k @ 120Hz
No
8k @ 30Hz or 24Hz
No
8k @ 60Hz
No

Update 02/17/2021: We previously stated that the TV accepts 1440p @ 60Hz as a native resolution, but it's a forced resolution instead. The review has been updated.

The Hisense H9G displays most common resolutions at 60Hz. Despite having a 120Hz panel, it doesn't properly display any 120Hz signal. It accepts 1080p @ 120Hz signals, but it skips frames, and it doesn't accept any 1440p @ 120Hz signal either. This issue has been fixed on the replacement model, the Hisense U8G. It displays chroma 4:4:4 at any resolution at 60Hz when it's in 'Game' mode, which is important for reading fine text. For signals that require full bandwidth, set HDMI 2.0 Format to 'Enhanced Format'.

Inputs
Advanced Console Compatibility
Auto Low Latency Mode (ALLM)
Yes
PS5, 4k @ 120Hz + HDR
No
PS5, 4k @ 120Hz
No
PS5, 4k @ 60Hz + HDR
Yes
PS5, 1440p @ 120Hz
No
PS5, 1080p @ 120Hz
No
PS5, Variable Refresh Rate
No
Xbox Series X, 4k @ 120Hz + HDR
No
Xbox Series X, 4k @ 120Hz
No
Xbox Series X, 4k @ 60Hz + HDR
Yes
Xbox Series X, 1440p @ 120Hz
No
Xbox Series X, 1080p @ 120Hz
No
Xbox Series X, Variable Refresh Rate
No

Update 10/27/2021: The latest firmware update has added an auto low-latency mode. The TV will automatically switch to 'Game' mode when you start playing a game from a supported console.

Inputs
Inputs Specifications
HDR10
Yes
HDR10+
Yes
Dolby Vision
Yes
HLG
Yes
HDMI 2.0 Full Bandwidth
Yes (HDMI 1,2,3,4)
HDMI 2.1 Class Bandwidth
No
CEC Yes
HDCP 2.2 Yes (HDMI 1,2,3,4)
USB 3.0
No
Variable Analog Audio Out Yes
Wi-Fi Support Yes (2.4 GHz, 5 GHz)

Update 08/21/2020: There's some confusion online over whether or not the U.S. model of the H9G supports HDR10+, as Hisense only mentions it on their website for the Canadian model (Q9G). We confirmed HDR10+ support on our U.S. model through an external Blu-ray Player with an HDR10+ disc, but it isn't currently working with some internal apps.

The Hisense H9G supports HDR10, HDR10+, and Dolby Vision. Unfortunately, HDR10+ doesn't work through the Amazon Prime app.

Inputs
Input Photos
Inputs
Total Inputs
HDMI 4
USB 2
Digital Optical Audio Out 1
Analog Audio Out 3.5mm 1
Analog Audio Out RCA 0
Component In 0
Composite In 1
Tuner (Cable/Ant) 1
Ethernet 1
DisplayPort 0
IR In 0
SD/SDHC 0
Inputs
Audio Passthrough
ARC
Yes (HDMI 1)
eARC support
No
Dolby Atmos via TrueHD via eARC
No
DTS:X via DTS-HD MA via eARC
No
5.1 Dolby Digital via ARC
Yes
5.1 DTS via ARC
Yes
5.1 Dolby Digital via Optical
Yes
5.1 DTS via Optical
Yes

This TV can pass both DTS and Dolby Digital via ARC or optical, which is great, but it doesn't support eARC. If you want a similar TV that supports eARC, check out the Vizio P Series Quantum 2020.

Sound Quality
7.3
Sound Quality
Frequency Response
Low-Frequency Extension
89.80 Hz
Std. Dev. @ 70
4.58 dB
Std. Dev. @ 80
4.47 dB
Std. Dev. @ Max
4.24 dB
Max
93.2 dB SPL
Dynamic Range Compression
1.92 dB

The Hisense H9G has decent frequency response, which is a big improvement over the Hisense H9F. It gets very loud and has a well-balanced sound profile, which is great for listening to dialogue. Unfortunately, it can't produce a deep bass with any rumble or thump.

6.9
Sound Quality
Distortion
Weighted THD @ 80
0.104
Weighted THD @ Max
0.838
IMD @ 80
2.53%
IMD @ Max
7.51%

The Hisense H9G has okay distortion performance. There's a bit of audible total harmonic distortion at moderate listening levels, and it gets more noticeable at its max volume. However, this depends on the content and may not be audible for everyone.

Smart Features
7.5
Smart Features
Interface
Smart OS Android TV
Version 9.0
Ease of Use
Average
Smoothness
Average
Time Taken to Select YouTube
2 s
Time Taken to Change Backlight
4 s
Advanced Options
Many

This TV uses Android TV as its smart OS. It's fairly easy and smooth to use.

0
Smart Features
Ad-Free
Ads
Yes
Opt-out
No
Suggested Content in Home
Yes
Opt-out of Suggested Content
Yes

Update 02/18/2021: We noticed there are now ads on the home page. The review has been updated.

Just like Sony TVs, Hisense has now included ads and suggested content on the Android TV home page.

9.0
Smart Features
Apps and Features
App Selection
Great
App Smoothness
Average
Cast Capable
Yes
USB Drive Playback
Yes
USB Drive HDR Playback
Yes
HDR in Netflix
Yes
HDR in YouTube
Yes

Android TV's Google Play Store offers a massive selection of apps available to download.

8.0
Smart Features
Remote
Size
Large
Voice Control
Many Features
CEC Menu Control
Yes
Other Smart Features
No
Remote App Hisense RemoteNOW

The Hisense H9G has the same remote as the one from the Hisense H9F and the Hisense H8G. It has quick-access buttons to popular streaming services, and it has a built-in mic for voice control through Google Assistant.

Smart Features
TV Controls

There's a button underneath the TV that allows you to power On/Off and change inputs. There's also a switch to shut off the built-in microphone.

Smart Features
In The Box

  • Quick Start Guide
  • Remote
  • Batteries

Smart Features
Misc
Power Consumption 74 W
Power Consumption (Max) 258 W
Firmware V0000.01.00A.K0603