Get insider access
Preferred store
Your browser is not supported or outdated so some features of the site might not be available.

Acer Swift Go 14 (2024) Laptop Review

Tested using Methodology v0.8.2
Reviewed Nov 01, 2024 at 09:12 am
Latest change: Writing modified Nov 21, 2024 at 09:06 am
Acer Swift Go 14 (2024) Picture
N/A
School
N/A
Gaming
N/A
Multimedia
N/A
Workstation
N/A
Business

The Acer Swift Go 14 (2024) is a 14-inch Windows ultraportable. It replaces the Swift Go 14 from 2023 (Intel 13th Gen, model SFG14-71). This 2024 model is available with Intel Meteor Lake CPUs, up to a Core Ultra 9 185H, 32GB of RAM, and 2TB of storage. There's no dedicated GPU option. You can get this laptop with a 60Hz FHD+ (1920 x 1200) IPS or a 90Hz 2.8k (2880 x 1800) OLED panel. It has a 1080p webcam, Wi-Fi 6E, and a fingerprint sensor. Ports include two USB-As, two USB-C/Thunderbolt 4s, an HDMI 2.0, a MicroSD card reader, and a 3.5mm headphone jack.

See our unit's specifications and the available configuration options in the Difference Between Variants section.

Note: We've performed the productivity benchmarks, gaming benchmarks, thermals and noise, and performance over time tests using the Performance mode instead of the default Normal mode. This change makes the results more representative of the laptop's maximum potential and brings them closer to user expectations. However, this also means that the results are only comparable with reviews containing this disclaimer, as we previously tested laptops in their default mode, which usually throttles performance to prolong battery life.

Our Verdict

N/A School

The Acer Swift Go 14 is great for school use. Its compact design makes it easy to carry around, and its battery lasts easily through a typical school day. You can configure the laptop with an FHD+ or 2.8k display; both look sharp and provide ample room for light multitasking. The touchpad is large and responsive, though the keyboard feels a tad mushy and tiring to type on for extended periods. Performance-wise, its Intel Meteor Lake CPU can handle demanding workloads; however, its integrated graphics perform poorly, so it isn't ideal for students in technical fields like 3D modeling. The fans are relatively quiet under load, which is great for noise-sensitive settings like classrooms and libraries.

Pros
  • Easy to carry around.

  • Battery lasts around 11 hours in light uses.

  • Sharp, bright display.

  • CPU can handle demanding tasks.

  • Wide port selection includes Thunderbolt 4.

Cons
  • No discrete GPU option.

  • Keyboard can cause some fatigue over an extended period.

N/A Gaming

The Acer Swift Go 14 isn't designed for gaming. Although its Intel CPU is quite capable, its integrated graphics aren't powerful enough to provide smooth gameplay in graphically intensive games. You can play some lighter, older titles, but even then, you'll have to play with the lowest graphical settings to get playable frame rates. There's a 90Hz OLED display option, which will provide slightly better input responsiveness and motion smoothness than a standard 60Hz display, but it doesn't support VRR to reduce screen tearing.

Pros
  • 90Hz OLED panel option.

  • Relatively quiet fans under load.

  • Minimal thermal throttling under load.

Cons
  • No discrete GPU option.

  • IPS panel has slow response time.

  • No VRR support.

N/A Multimedia

The Acer Swift Go 14 is good for media consumption. It's very portable, and its battery lasts over 10 hours of video playback, giving you plenty of time for a couple of full-length movies and TV show episodes. You can get this laptop with an FHD+ IPS or 2.8k OLED display; both displays look sharp and bright enough to combat glare. However, the 2.8k panel is much better suited for dark room viewing, as it can produce deep, inky blacks, whereas the IPS panel has a low contrast ratio that makes blacks look gray. Unfortunately, the speakers don't get very loud, and they have a vocal-centric tuning with almost no bass, so they're best suited for speech-heavy content.

Pros
  • Easy to carry around.

  • Available with 2.8k OLED display.

  • Display is well-calibrated out of the box.

  • Battery lasts around 10 hours of video playback.

Cons
  • Quiet speakers with no bass.

  • FHD+ IPS panel isn't ideal for dark room viewing.

N/A Workstation

The Acer Swift Go 14 isn't designed for use as a workstation. Although its Intel Meteor Lake CPU can handle demanding tasks, you can only get this laptop with up to 32GB of soldered RAM, which might not be enough for highly intensive workloads. Also, there's no dedicated GPU option, so anything that requires a lot of graphical processing power is out of the question. You can perform color-critical work, though, as its 2.8k OLED display has full DCI P3 coverage. Its wide port selection includes two Thunderbolt 4s, so you can transfer files quickly and connect two 4k displays with a single cable. Thermal throttling is minimal, though the laptop gets pretty hot, especially the bottom.

Pros
  • CPU can handle demanding tasks.

  • 2.8k OLED panel has full DCI P3 coverage.

  • Wide port selection includes Thunderbolt 4.

  • Relatively quiet fans under load.

  • Minimal thermal throttling under load.

Cons
  • No discrete GPU option.

  • Can only get up to 32GB of soldered RAM.

N/A Business

The Acer Swift Go 14 is great for business use. It's a well-built laptop that's easy to carry around, and its battery lasts easily through a typical workday. The display looks sharp, provides just enough space for split-screen multitasking, and gets bright enough to combat glare. Plus, the FHD+ and 2.8k OLED panels have full sRGB and DCI P3 coverage, respectively, making them suitable for color-critical work like photo and video editing, which is great for small business owners needing to make ads. The touchpad is large and responsive; however, the keyboard feels a tad mushy and tiring to type on for extended periods. Its Intel Meteor Lake CPU performs well and can easily handle productivity tasks like text processing, spreadsheets, and presentations. It has a good 1080p webcam for video calls as well as a wide port selection that includes two Thunderbolt 4 and an HDMI.

Pros
  • Easy to carry around.

  • Battery lasts around 11 hours in light uses.

  • Sharp, bright display.

  • Wide port selection includes Thunderbolt 4.

  • Good 1080p webcam.

Cons
  • Keyboard can cause some fatigue over an extended period.

  • N/A School
  • N/A Gaming
  • N/A Multimedia
  • N/A Workstation
  • N/A Business
  1. Updated Nov 21, 2024:

    Added the Lenovo Yoga 7 2-in-1 14 (2024) as an alternative with better build quality in the Build Quality section.

  2. Updated Nov 01, 2024: Review published.
  3. Updated Oct 28, 2024: Early access published.
  4. Updated Oct 18, 2024: Our testers have started testing this product.
  5. Updated Oct 11, 2024: The product has arrived in our lab, and our testers will start evaluating it soon.
  6. Updated Sep 26, 2024: We've purchased the product and are waiting for it to arrive in our lab.

Differences Between Sizes And Variants

We tested the Acer Swift Go 14 (model SFG14-72T-71QF) with an FHD+ display, an Intel Core Ultra 7 155H CPU, integrated Intel Arc graphics, 16GB of RAM, and 1TB of storage. The display, CPU, memory, and storage are configurable; see below for all the configuration options. Our review applies to all variants with a model number starting with ‘SFG14-72’ and ‘SFG14-73’.

SCREEN

  • 14” IPS 1920 x 1200 60Hz (touchscreen, matte, 100% sRGB)
  • 14” OLED 2880 x 1800 90Hz (glossy, 100% DCI P3)

CPU

  • Intel Core Ultra 5 125H (14 cores, 18 Threads, up to 4.5 GHz, 18MB Cache)
  • Intel Core Ultra 7 155H (16 cores, 22 Threads, up to 4.8 GHz, 24MB Cache)
  • Intel Core Ultra 9 185H (16 cores/22 threads, up to 5.1GHz, 24MB cache)

GPU

  • Intel Arc Graphics (integrated)

MEMORY

  • 8GB LP-DDR5x 6400MHz
  • 16GB LP-DDR5x 6400MHz
  • 32GB LP-DDR5x 6400MHz

STORAGE

  • 512GB M.2 PCIe Gen 4 NVMe SSD
  • 1TB M.2 PCIe Gen 4 NVMe SSD
  • 2TB M.2 PCIe Gen 4 NVMe SSD

COLOR

  • Silver

See our unit's label.

Compared To Other Laptops

The Acer Swift Go 14 laptop is a great mid-range ultraportable. Its CPU performance is outstanding, outperforming many pricier models with the same chip. It also stands out for the quality of its display and its wide port selection. The keyboard could be better, as it feels a tad mushy and can be tiring to type on for an extended period, and like most budget-conscious laptops, the speakers are sub-par.

For more options, check out our recommendations for the best Windows laptops, the best business laptops, and the best lightweight laptops.

Lenovo Yoga 7 2-in-1 14 (2024)

The Lenovo Yoga 7 2-in-1 14 (2024) and Acer Swift Go 14 (2024) are mid-range Windows laptops that trade blows. The Lenovo is more versatile, thanks to its convertible form factor, meaning you can use it as a tablet with the included stylus. It also has a premium-feeling all-aluminum chassis and provides a better user experience thanks to its superior touchpad and keyboard. That said, the Acer's traditional clamshell form factor may be more appealing to some, and it offers a wider range of hardware options, including more RAM and storage. Both devices offer great battery life, so the choice comes down to preference over form factor and your hardware needs. 

HP Pavilion Aero 13 (2024)

The Acer Swift Go 14 (2024) and the HP Pavilion Aero 13 (2024) are both Windows ultraportable laptops. The Acer provides a slightly better user experience overall; it's available with a nicer 90Hz 2.8k OLED display, and its USB-C ports support Thunderbolt 4, allowing you to transfer files faster and connect two 4k external monitors with a single cable. It also has a sturdier build and longer battery life. While the HP's AMD Ryzen CPUs are quite capable, you can get more processing power from the Acer's Intel Meteor Lake CPUs, especially in multi-threaded workloads.

Acer Swift 14 (2023)

The Acer Swift Go 14 (2024) is better than the Acer Swift 14 (2023) for most uses. The Go 14 is a newer device available with Intel Meteor Lake CPUs, which are faster in multi-threaded workloads than the Swift 14's Intel 13th Gen processors and more power efficient, leading to longer battery life. It also has a better keyboard and touchpad, and it's available with a nicer 90Hz 2.8k OLED display.

MSI Modern 14 (2023)

The Acer Swift Go 14 (2024) is much better than the MSI Modern 14 (2023) for most uses. The Acer provides a better user experience overall; its available displays are brighter and more colorful, and they have a 16:10 aspect ratio, which is better suited for productivity. It also has a better webcam, a wider port selection with Thunderbolt 4 support, Wi-Fi 6E, and a significantly longer battery life. Performance-wise, although both laptops can easily handle general productivity tasks like text processing, web browsing, and spreadsheets, the Acer's Intel Meteor Lake CPUs are much faster, allowing you to perform more demanding workloads like programming and simulations.

LG gram 14 (2023)

The Acer Swift Go 14 (2024) and the LG gram 14 (2023) are very similar in terms of user experience. The LG has a better keyboard and touchpad, but the Acer is available with a nicer 90Hz 2.8k OLED display. If portability is a major factor in your buying decision, the LG is the better option, as it's more compact and lighter. That said, the Acer comes out on top performance-wise; its Intel Meteor Lake CPUs are faster, especially in multi-threaded workloads, and they don't throttle as much under load due to the laptop's more robust cooling system.

+ Show more

Test Results

perceptual testing image
Design
Design
Style
Form Factor
Locked

The Acer Swift Go 14 is only available in the Silver colorway. See the bottom of the laptop.

N/A
Design
Build Quality

The build quality is great. Its aluminum and plastic chassis feels sturdy overall; there's some flex on the lid and keyboard deck, but not enough to be of concern. Twisting the screen produces a clipping noise, though it's hard to say whether this will be a problem in the future. There are no complaints about the feet; they feel solid and stick firmly to the bottom. The finish is fairly resistant to scratches. Fingerprints and smudges aren't a problem on most surfaces except for the touchpad (and keys, albeit to a lesser degree), which picks up oil easily. If you want an alternative with a fully aluminum chassis, check out the Lenovo Yoga 7 2-in-1 14 (2024).

N/A
Design
Hinge
Range
Lock°
Stability
Locked
One Finger Lift
Locked

The Acer Swift Go's hinges are outstanding. They feel smooth and sturdy when opening and closing the lid. You can open the laptop with one hand, though the laptop lifts slightly when doing so. Heavy typing doesn't cause the screen to wobble if you set the display past 90 degrees. There's more wobbling below 90 degrees, but since most people don't use the laptop in that manner, it isn't a huge issue.

N/A
Design
Portability
Size
14"
Thickness
Lock" (Lock cm)
Width
Lock" (Lock cm)
Depth
Lock" (Lock cm)
Volume
Lock in³ (Lock cm³)
Weight
Lock lbs (Lock kg)
Charger Size
Lock in³ (Lock cm³)
Charger Weight
Lock lbs (Lock kg)
N/A
Design
Serviceability
Ease Of Access
0.0
RAM Slots
Locked
Storage Slots
Locked
Replaceable Battery
Locked
Replaceable Wireless Adapter
Locked

The Acer Swift Go's serviceability is decent. Accessing the internals is easy; you only need to remove ten torque screws and release the bottom panel's clips with a thin prying tool. The only component that's somewhat hard to access is the storage slot below the fans, as you must first remove the ribbon to access the connectors. Both storage slots support M.2 2280 PCIe Gen 4 NVMe SSDs.

See the service manual.

Design
In The Box

  • 100W Power adapter and cord
  • Documentation

Display
Display
Screen Specs
Resolution
Locked
Aspect Ratio
Locked
Pixel Density
Lock PPI
Panel Type
Locked
Touch Screen
Locked
Screen-To-Body Ratio
Lock%

The Acer Swift Go is available with the following displays:

  • 14” IPS 1920 x 1200 60Hz (touchscreen, matte, 100% sRGB)
  • 14” OLED 2880 x 1800 90Hz (glossy, 100% DCI P3)

A FHD+ resolution looks sharp on a 14-inch screen. You might be able to see individual pixels up close, but that isn't a problem at typical viewing distances. The 2.8k OLED panel, which has a higher pixel density of 243 PPI, looks much sharper; just keep in mind that it'll drain the battery faster. Also, OLEDs are susceptible to permanent burn-in, especially with static elements like Windows' taskbar. Both panels have a 16:10 aspect ratio; this format is well suited for productivity, as it gives you slightly more vertical space than a standard 16:9 display, allowing you to see more information when reading a document or website.

N/A
Display
Refresh Rate
Refresh Rate
Lock Hz
Variable Refresh Rate
Locked

The FHD+ IPS panel has a slow response time, causing visible ghosting in fast-moving scenes. The 2.8k OLED panel has a 90Hz refresh rate, which will provide slightly better input responsiveness and motion smoothness. Acer advertises the OLED panel's response time as less than 0.2 ms, though take that with a grain of salt—it's likely similar in performance as the Acer Swift 3 14 (2022). Neither display supports variable refresh rate to reduce screen tearing when gaming with an uncapped frame rate.

N/A
Display
Contrast
Native Contrast
Lock : 1

The FHD+ display has a great contrast ratio for an IPS panel. That said, it's still pretty low compared to other display technologies like VA and OLED. This contrast level makes blacks look gray in dim settings. The 2.8k OLED panel has effectively an infinite contrast ratio since it can turn off individual pixels to produce perfect blacks.

N/A
Display
Brightness
Maximum Brightness
Lock cd/m²
Minimum Brightness
Lock cd/m²

The FHD+ display gets bright enough for use in most indoor settings. Outdoor use is possible during the day, but you may have trouble seeing some content, especially darker ones. It gets very dim at the lowest brightness setting, which is great for dark room viewing, as it causes less eye strain. Acer doesn't advertise the OLED panel's brightness, though it's likely in the same ballpark, similar to the Acer Swift 3 14 (2022).

N/A
Display
Reflections
Screen Finish
Locked
Total Reflections
Lock%
Indirect Reflections
Lock%
Calculated Direct Reflections
Lock%

The FHD+ display handles reflections well. You'll only have visibility issues when viewing dark-color content. The OLED panel, which has a glossy finish, is likely worse at handling direct, mirror-like reflections.

N/A
Display
Black Uniformity
Uniformity (Std. Dev.)
Lock%

The OLED panel has perfect uniformity because OLEDs can turn off individual pixels to produce black.

N/A
Display
Horizontal Viewing Angle
- SAMPLE -
Get Insider Access for videos & test results
Acer Swift Go 14 (2024) Horizontal Viewing Angle Video Sample
Color Washout From Left
Lock°
Color Washout From Right
Lock°
Color Shift From Left
Lock°
Color Shift From Right
Lock°
Brightness Loss From Left
Lock°
Brightness Loss From Right
Lock°
Black Level Raise From Left
Lock°
Black Level Raise From Right
Lock°
Gamma Shift From Left
Lock°
Gamma Shift From Right
Lock°

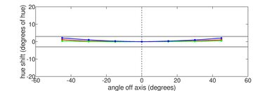
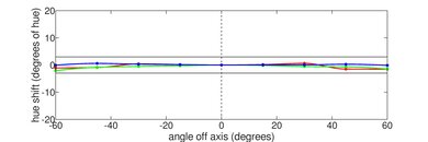
The FHD+ panel's horizontal viewing angle is passable. The image dims and washes out quickly as you move to the side, so it's best to be directly in front of the screen if you need perfect accuracy for color-critical work. The OLED panel is likely better in regards to color washout and brightness loss but will suffer more from color shift.

N/A
Display
Vertical Viewing Angle
- SAMPLE -
Get Insider Access for videos & test results
Acer Swift Go 14 (2024) Vertical Viewing Angle Video Sample
Color Washout From Below
Lock°
Color Washout From Above
Lock°
Color Shift From Below
Lock°
Color Shift From Above
Lock°
Brightness Loss From Below
Lock°
Brightness Loss From Above
Lock°
Black Level Raise From Below
Lock°
Black Level Raise From Above
Lock°
Gamma Shift From Below
Lock°
Gamma Shift From Above
Lock°

The IPS panel's vertical viewing angle is passable. Like the horizontal viewing angle, the image dims and washes when viewing from above and below, so you need to look at the screen more or less straight on to see an accurate image, which can be challenging in tight places where you have little room to tilt the screen, like on a bus or airplane. The OLED panel won't dim or wash out as much, but it'll suffer more from color shift.

N/A
Display
Out-Of-The-Box Color Accuracy
Avg. White Balance dE
Lock
Avg. Gamma
Lock
Avg. Color dE
Lock
Avg. Color Temperature
Lock K

The FHD+ display's accuracy is excellent out of the box. Most white balance and color inaccuracies are minor and hard to spot with the naked eye. The color temperature is a tad warmer than the standard 6500K target, but not enough to make a huge difference visually. The gamma is the only thing that's quite off—most scenes are too bright, while dark scenes are a little too dark.

N/A
Display
Color Gamut
sRGB xy
Lock%
sRGB uv
Lock%
Adobe RGB xy
Lock%
Adobe RGB uv
Lock%
DCI P3 xy
Lock%
DCI P3 uv
Lock%
Rec. 2020 xy
Lock%
Rec. 2020 uv
Lock%

The FHD+ panel is an sRGB display, meaning it only has full coverage of the commonly used sRGB color space. If you need full DCI P3 coverage to view or produce HDR content, it's best to get the 2.8k OLED panel.

N/A
Display
Flicker
Flicker-Free
Locked
Flicker Frequency
Locked
Flicker Active Below
Lock%

The 2.8k OLED display likely flickers and may bother people sensitive to flickering.

Interface
N/A
Interface
Keyboard
Typing Quality
0.0
Numpad
Locked
Backlighting
Locked
Operating Force
Lock gf
Actuation Force
Lock gf
Pre-Travel
Lock mm
Total Travel
Lock mm

The Acer Swift Go has a good keyboard. Its layout feels spacious and is relatively easy to get used to. Although the power button is right next to the Backspace and Delete buttons, you shouldn't have any problems with accidental triggers while typing since you have to press and hold the power button for two seconds to activate it. The keys are stable and have a lot of travel; however, they require a fair amount of force to actuate, which might cause fatigue over an extended period, and they feel somewhat mushy. You can toggle between two backlight brightness levels or turn it off completely; the backlight is white and shines well through the legends.

N/A
Interface
Touchpad
Tracking Quality
0.0
Size
Lock in² (Lock cm²)
Material
Locked
Dedicated Buttons
Locked

The Acer Swift Go has a good touchpad. While it could be a tad larger, the size is adequate, making it easy to perform actions like dragging and dropping over a long distance. It feels smooth even though it's plastic, and it tracks all movements and gestures well. Palm detection doesn't always work properly, but accidental triggers don't happen often enough to be an issue. This is a diving board touchpad, meaning you can only click in the bottom half of the touchpad. Though not heavy, the buttons do require a purposeful press to actuate, and unfortunately, they're on the mushy side.

N/A
Interface
Speakers
Max Volume
Lock dB SPL
Standard Error @ Normal Vol. (65 dB)
Lock dB
Slope @ Normal Vol. (65 dB)
Lock
Bass Extension (Low-Frequency Ext.)
Lock Hz
Treble Extension (High-Frequency Ext.)
Lock kHz
Dynamic Range Compression @ Max Vol.
Lock dB

The speakers are sub-par. They have little to no compression artifacts or distortion at high volume levels, but they don't get very loud to begin with. The tuning is very vocal-centric with almost no bass, so they're best suited for speech-heavy content rather than music.

N/A
Interface
Webcam & Microphone
- SAMPLE -
Get Insider Access for videos & test results
Acer Swift Go 14 (2024) Webcam Video Sample Sample
Video Quality
0.0
Resolution
Locked
Position
Locked
Privacy Cover
Locked
Face Unlock
Locked

The Acer Swift Go 14 has a good webcam. The image looks relatively sharp; there's some loss of fine details, and the exposure is a hair too high, but the overall quality is good enough for general video calls. Voices sound loud and clear over the microphone, with no noticeable background noise.

Connectivity
N/A
Connectivity
Ports
USB-A Ports
Locked
USB-C Ports
Locked
Thunderbolt
Locked
USB-C Charging
Locked
USB-C Display Out
Locked
HDMI
Locked
DisplayPort
Locked
3.5mm Jack
Locked
Card Reader
Locked
Ethernet
Locked
Proprietary Port
Locked
Security Lock
Locked

The Acer Swift Go 14 has an outstanding port selection. Both USB-As support USB 3.2 Gen 1 data transfer speed of up to 5Gbps. You can use the left USB-A to charge a mobile device even when the laptop is in sleep mode. Both USB-Cs support Thunderbolt 4 (up to 40Gbps data transfer speed and two 4k @ 60Hz displays), DisplayPort, and Power Delivery. The latter lets you fast charge the laptop and other PD-compatible devices (up to 15W). Regarding the HDMI port, Acer advertises HDMI 2.1 support; however, it can only output at a maximum resolution of 4k @ 60Hz. As such, we consider it an HDMI 2.0.

Connectivity
Wireless Communication
Wi-Fi
Locked
Bluetooth
Locked

The Acer Swift Go 14 2024's wireless adapter is an Intel Killer Wireless Wi-Fi 6E 1675i. Wi-Fi 6E has faster speeds, lower latency, and less signal interference than previous Wi-Fi standards. However, you need a router that supports Wi-Fi 6E to benefit from these features. Check out our recommendations for the best Wi-Fi routers if you're looking to upgrade your home's wireless performance.

Configuration
Configuration
CPU
Brand
Locked
Model
Locked
Core Count
Lock
Thread Count
Lock

The Acer Swift Go 14 is available with the following CPUs:

  • Intel Core Ultra 5 125H (14 cores, 18 Threads, up to 4.5 GHz, 18MB Cache)
  • Intel Core Ultra 7 155H (16 cores, 22 Threads, up to 4.8 GHz, 24MB Cache)
  • Intel Core Ultra 9 185H (16 cores/22 threads, up to 5.1GHz, 24MB cache)

All three are high-performance CPUs from Intel's Meteor Lake family. Unlike Intel's 14th Gen (Raptor Lake refresh) CPUs, these Core Ultra processors have additional low-power E-cores (LP-E) to handle light tasks, further improving efficiency, as well as an NPU (Neural Processing Units) for AI-based tasks, like background-blurring on video calls and image generation in photo some editing apps. These processors can handle general productivity tasks and more intensive workloads, like programming and simulations. Regarding core composition, the Core Ultra 5 125H has four performance cores, eight efficiency cores, and two low-power efficiency cores (4P+8E+2LP-E), while the Core Ultra 7 and 9 have six performance cores, eight efficiency cores, and two low-power efficiency cores (6P+8E+2LP-E). All three have the same Neural Processing Units (NPU). Due to its higher clock speeds, the Core Ultra 9 is about 10% faster than the Core Ultra 7 in most workloads.

See Intel's product brief for more information about the Meteor Lake CPUs.

Configuration
GPU
Brand
Locked
Model
Locked
Dedicated/Integrated
Locked
VRAM Size
N/A

The Acer Swift Go 14 is only available with Intel Arc graphics, an integrated GPU designed for light productivity tasks like web browsing and video playback. As for gaming, it can handle some lighter or older titles, but even then, you'll have to play with low graphical settings to get playable frame rates.

Configuration
RAM
Capacity
Lock GB
Modules
Locked
Type
Locked
Speed
Lock MHz

You can configure this laptop with 8GB, 16GB, or 32GB of RAM. The memory isn't user-replaceable.

Configuration
Storage
Advertised Capacity
Lock GB
Usable Capacity
Lock GB
Drive 1
Locked
Drive 1 Type Locked
Drive 2
Locked
Drive 2 Type Locked

You can configure the Acer Swift Go 14 with 512GB, 1TB, or 2TB of storage. The storage is user-replaceable. There are two slots; both support M.2 2280 PCIe Gen 4 NVMe SSDs.

Performance
N/A
Performance
Geekbench 5 (Synthetics)
CPU Single-Thread
Lock points
CPU Multi-Thread
Lock points
GPU Compute
Lock points

The Acer Swift Go has an outstanding overall score in Geekbench 5. Its Intel Core Ultra 7 155H CPU performs well in single- and multi-threaded workloads, making it suitable for a wide range of productivity tasks. That said, there are significantly faster CPUs on the market, like the Apple MacBook Pro 16 (M3, 2023)'s M3 Max SoC and the Razer Blade 18 (2024)'s Intel Core i9-14900HX. The Core Ultra 5 125H has two fewer P-cores, so you can expect a sizable drop in multi-thread performance. The Core Ultra 9 185H is about 10% faster overall. As for GPU computing tasks, although Intel's Arc graphics perform well for an integrated GPU, it's still far behind an entry-level discrete GPU like the NVIDIA GeForce RTX 3050 Laptop GPU. You're better off getting a laptop with a dedicated graphics processor if your work requires a fair amount of GPU processing power.

Note: We've performed all benchmarks using the laptop's best performing mode (Performance in this case) instead of the default Balanced mode, which usually throttles the performance to prolong battery life. This is more representative of the laptop's maximum potential (you can always turn it down if you prioritize battery life and/or lower fan noise and thermals), whereas the Balanced mode would only show the manufacturer's tuning of that mode.

N/A
Performance
Cinebench R23 (CPU Rendering)
Single-Thread
Lock points
Multi-Thread
Lock points

The Acer Swift Go 14's overall score in Cinebench R23 is outstanding. Its Intel Core Ultra 7 155H CPU can easily handle intensive, multi-threaded workloads and general heavy multitasking. Again, there are significantly faster CPUs on the market if you need even better performance.

N/A
Performance
Blender (3D Rendering)
CPU Render Time
Lock min
GPU Render Time
N/A
GPU Render Time (Optix)
N/A

While you can perform 3D rendering tasks in Blender using the CPU, getting a laptop with a discrete GPU is best. Even an entry-level dedicated GPU, like the NVIDIA GeForce RTX 3050 Laptop GPU, can render images significantly faster.

N/A
Performance
Basemark GPU (Game Scene)
Overall Score
Lock

The Acer Swift Go laptop's Basemark GPU score is mediocre. The integrated Arc GPU is far too slow for graphically intensive games. You can play some simple, puzzle-like games or older titles at 1080p, but you'll have to play at a lower resolution or with low graphics settings to get playable frame rates.

N/A
Performance
Storage Drive Performance
Sequential Write Speed
Lock MB/s
Sequential Read Speed
Lock MB/s
Random Write Speed
Lock MB/s
Random Read Speed
Lock MB/s
N/A
Performance
Battery
Capacity
Lock Wh
Battery Life (Web Browsing)
Lock hrs
Battery Life (Video Playback)
Lock hrs
Battery Life (Gaming)
Lock hrs
Charge Time
Lock hrs

Models with the 2.8k OLED display will likely have a shorter battery life. To better simulate typical usage, we've conducted the web browsing and video playback tests using the Normal mode and the gaming test using the Performance mode. There's a pin hole on the bottom of the laptop to reset the battery if you encounter issues. This simulates removing and reinstalling the battery.

N/A
Performance
Borderlands 3
Avg. FPS
Lock fps
1% Low
Lock fps
0.1% Low
Lock fps
1% Low Delta
Lock ms
0.1% Low Delta
Lock ms
Avg. FPS On Very Low
Lock fps

Borderlands 3 isn't playable on the Acer Swift Go 14. The Intel Arc integrated GPU can't handle this and other similarly demanding games. You can get over 60 fps with low settings, but the gameplay is far too choppy.

N/A
Performance
Civilization VI
Avg. FPS
Lock fps
1% Low
Lock fps
0.1% Low
Lock fps
1% Low Delta
Lock ms
0.1% Low Delta
Lock ms
Avg. FPS On Minimum
Lock fps
Avg. Turn Time
Lock s

Civilization VI runs well enough to be playable. This game (and other similar strategy games) isn't graphically intensive, and you don't really need high frame rates to play since it doesn't require fast reaction time or precise aiming. The average turn time is decent and within the expected range for an Intel Meteor Lake CPU. The average turn time is likely in the same ballpark on models with a Core Ultra 5 125H and Core Ultra 9 185H CPU.

N/A
Performance
Counter-Strike 2
Avg. FPS
Lockfps
1% Low
Lockfps
0.1% Low
Lockfps
1% Low Delta
Lock ms
0.1% Low Delta
Lock ms
Avg. FPS On Low
Lockfps

Counter-Strike 2 runs poorly on the Acer Swift Go 14. Although you can get well over 60 fps with low settings, the gameplay is choppy due to frequent frame drops, which isn't ideal for a competitive FPS.

N/A
Performance
Shadow Of The Tomb Raider
Avg. FPS
Lock fps
1% Low
Lock fps
0.1% Low
Lock fps
1% Low Delta
Lock ms
0.1% Low Delta
Lock ms
Avg. FPS On Lowest
Lock fps

Shadow of the Tomb Raider is playable at 1080p on the Acer Swift Go, but only with the lowest graphical settings, and even then, you'll likely experience some stutters. The large frametime spikes are scene changes and aren't representative of the performance.

N/A
Performance
Thermals And Noise
Keyboard Temp While Idle
Lock °C (Lock °F)
Keyboard Temp Under Load
Lock °C (Lock °F)
Fan Noise While Idle
Lock dBA
Fan Noise Under Load
Lock dBA
Power & Fan Control App
Locked

The Acer Swift Go 14's keyboard gets a little toasty when using the Performance mode, with the hot spot around the number 4 key. This might cause some discomfort, as it's close to where most people rest their left hand. The fans are relatively quiet, though. Unfortunately, using the device on your lap might be difficult without a lap board, as the bottom of the laptop gets very hot, reaching 52 °C (125.6 °F). Switching to the Normal (Balanced) mode raises the keyboard temperature slightly to 47.7 °C (117.86 °F) but lowers the fan noise to 41.9 dBA. The Silent mode lowers the keyboard temperature to 42.6 °C (108.68 °F) and the fan noise to 37.6 dBA.

N/A
Performance
Performance Over Time
CPU Temp (Cinebench)
Lock °C
CPU Perf. Loss (Cinebench)
Lock% loss
GPU Temp (Heaven)
Lock °C
GPU Perf. Loss (Heaven)
Lock% loss

We've conducted this test using the laptop's best performance (Performance) mode with the fan speed at max instead of the default Normal mode we've used in previous laptop reviews.

Additional Features And Software
Additional Features And Software
Software
Operating System
Windows 11
Additional Software
Locked

The Acer Swift Go has many pre-installed applications, including:

  • Acer Jumpstart: Link to Acer's website.
  • Acer LiveArt: Lets you remove the background from an image with people, animals, or objects using AI.
  • Acer Product Registration: Lets you register your laptop for warranty.
  • Acer Quick Panel: Lets you quickly access Acer's PurifiedView and PurifiedVoice settings, like AI noise canceling during video calls, background blurring, Auto Framing, etc.
  • AcerSense: Lets you see system information, access hardware diagnostic tools, and download software updates.
  • AlterView: Lets you convert 2D images into animated wallpapers with 3D effects using AI.
  • App Explorer: Lets you explore the pre-installed apps on the laptop and contains ads for other apps.
  • Care Center: Lets you check for system issues, update firmware and drivers, clean unnecessary files, and backup data.
  • Evernote: Note-taking application. Requires subscription.
  • ExpressVPN: Link to ExpressVPN virtual private network service website.
  • Google Play Games beta: Lets you play mobile games from the Google Play Store.
  • McAfee LiveSafe: Antivirus and internet security software. Requires subscription.
  • Solitaire: Card game.
  • Spades: Card game.
  • WebAdvisor by McAfee: Protects you from malware when browsing the internet. Requires subscription.

Additional Features And Software
Extra Features
RGB Illumination
Locked
Touch Pen
Locked
Secondary Display
Locked
Biometrics
Locked

The Acer Swift Go has a fingerprint sensor built into the power button. You can use it to log into Windows, authorize Windows Store purchases, and auto-fill saved passwords on supported websites.