Get insider access
Preferred store
Your browser is not supported or outdated so some features of the site might not be available.

Sony X90K/X90CK TV Review

Tested using Methodology v1.11
Review updated Oct 02, 2023 at 04:32 pm
Latest change: Retest Nov 20, 2024 at 07:20 am
Sony X90K/X90CK Picture
8.0
Mixed Usage
Value for price beaten by
: TCL QM8/QM851G QLED
7.6
TV Shows
Value for price beaten by
: TCL QM8/QM851G QLED
7.5
Sports
Value for price beaten by
: TCL QM8/QM851G QLED
8.3
Video Games
Value for price beaten by
: TCL QM8/QM851G QLED
8.2
HDR Movies
Value for price beaten by
: TCL QM8/QM851G QLED
8.3
HDR Gaming
Value for price beaten by
: TCL QM8/QM851G QLED
8.2
PC Monitor
Value for price beaten by
: TCL QM8/QM851G QLED
This TV was replaced by the Sony X90L/X90CL

The Sony X90K/X90CK is an upper mid-range 4k LED TV released in 2022. It sits above the Sony X85K and below the Sony X95K, and it's Sony's lowest-end model in 2022 to feature a full array local dimming feature. It's powered by Sony's Cognitive Processor XR for motion and picture processing. It comes with the Google TV smart platform built-in, which has a user-friendly interface with a ton of apps you can download, and you can use Google Assistant to search for content and easily open your favorite apps. It's available in a wide range of sizes, from 55 to 85 inches, so you can get the one that suits your needs. It has a few extra features for gamers, including HDMI 2.1 bandwidth and variable refresh rate (VRR) support to reduce screen tearing. It's been replaced in 2023 by the Sony X90L/X90CL.

Our Verdict

8.0 Mixed Usage

The Sony X90K TV is great for most uses. It's great for watching movies in a dark room thanks to its high contrast ratio and wide color gamut. It's also good for watching shows or sports in bright rooms with a couple of lights around, but it struggles a bit to overcome glare from bright lights or windows. It also has a narrow viewing angle, so it's not a good choice for a wide seating arrangement. It's great for gaming because it has HDMI 2.1 bandwidth for high-frame-rate gaming, variable refresh rate support, a quick response time, and low input lag for a responsive gaming experience.

Pros
  • Excellent contrast ratio for deep blacks with just a bit of blooming.
  • Excellent SDR peak brightness.
  • User-friendly Google TV smart platform.
  • Colors look vivid and pop.
Cons
  • Struggles opposite really bright windows.
  • Narrow viewing angle.
7.6 TV Shows

The Sony Bravia X90K is good for watching TV shows in a bright room. It has excellent peak brightness, so it gets bright enough to fight glare, but its reflection handling is just decent, and it's best to avoid placing it opposite really bright windows. It upscales lower-resolution content from cable boxes without issue, and the Google TV smart platform makes it easy to stream your favorite content. Sadly, it isn't a good choice for a wide seating arrangement because it has a narrow viewing angle, so the screen looks washed out from the sides.

Pros
  • Excellent upscaling and sharpness processing.
  • Excellent SDR peak brightness.
  • User-friendly Google TV smart platform.
Cons
  • Struggles opposite really bright windows.
  • Narrow viewing angle.
7.5 Sports

The Sony X90CK is good for watching sports in a bright room. Fast-moving balls and players look smooth, thanks to the quick response time. It also performs well in rooms with a few lights around because it has excellent peak brightness to fight some glare, but it struggles if you place it opposite a really bright window. Unfortunately, it isn't a good choice for wide seating areas because it has a narrow viewing angle, meaning the image looks washed out from the sides.

Pros
  • Excellent upscaling and sharpness processing.
  • Excellent SDR peak brightness.
  • Quick response time for smooth motion.
Cons
  • Struggles opposite really bright windows.
  • Narrow viewing angle.
8.3 Video Games

The Sony Bravia XR X90K is impressive for gaming. It has a few gaming features like variable refresh rate support and HDMI 2.1 bandwidth, and it can take full advantage of the PS5 and Xbox Series X. It's also part of Sony's 'Perfect for PS5' lineup, which offers a few extra features for PS5 gamers that help automatically optimize your picture settings. Gaming feels responsive thanks to the low input lag and quick response time. It also looks good in dark rooms due to the high native contrast.

Pros
  • Excellent contrast ratio for deep blacks with just a bit of blooming.
  • Quick response time for smooth motion.
  • HDMI 2.1 bandwidth.
  • HDMI Forum VRR and G-SYNC compatibility.
  • Low input lag.
Cons
8.2 HDR Movies

The Sony X90K is great for watching movies in a dark room. It has an excellent contrast ratio, so dark scenes are uniform, with just a bit of blooming around bright highlights. It displays a wide range of colors in HDR, and it has great color volume, so colors are vivid and lifelike. It also displays native 4k content perfectly, and it removes 24p judder from any source, which helps with the appearance of motion in movies.

Pros
  • Excellent contrast ratio for deep blacks with just a bit of blooming.
  • Removes 24p judder from any source.
  • Displays a wide color gamut.
  • Colors look vivid and pop.
Cons
8.3 HDR Gaming

The Sony X90K is impressive for HDR gaming. Gaming feels smooth and responsive thanks to its low input lag, quick response time, and VRR support for a nearly tear-free gaming experience. It also supports 4k @ 120Hz gaming from the latest consoles and PCs. In terms of HDR, colors look vivid and pop thanks to the high peak brightness, and it displays deep blacks in dark rooms with just a bit of blooming around bright highlights.

Pros
  • Excellent contrast ratio for deep blacks with just a bit of blooming.
  • Quick response time for smooth motion.
  • HDMI 2.1 bandwidth.
  • HDMI Forum VRR and G-SYNC compatibility.
  • Displays a wide color gamut.
Cons
8.2 PC Monitor

The Sony X90K is great to use as a PC monitor. Your mouse movements and keyboard inputs feel responsive thanks to its low input lag and quick response time. It gets bright enough to fight glare in a moderately lit room, but the reflection handling is just decent, and it struggles a bit with bright lights or windows. It also displays proper chroma 4:4:4, which is essential for clear text from a PC. Sadly, it has a narrow viewing angle, and the image looks washed out at the edges if you sit too close.

Pros
  • Excellent SDR peak brightness.
  • Quick response time for smooth motion.
  • Low input lag.
  • Chroma 4:4:4 is displayed properly for clear text from a PC.
Cons
  • Struggles opposite really bright windows.
  • Narrow viewing angle.
  • 8.0 Mixed Usage
  • 7.6 TV Shows
  • 7.5 Sports
  • 8.3 Video Games
  • 8.2 HDR Movies
  • 8.3 HDR Gaming
  • 8.2 PC Monitor
  1. Updated Nov 20, 2024: We uploaded the latest brightness measurements and uniformity photos for the Accelerated Longevity Test.
  2. Updated Sep 11, 2024: We uploaded the latest brightness measurements and uniformity photos for the Accelerated Longevity Test.
  3. Updated Jul 17, 2024: We uploaded the latest brightness measurements and uniformity photos for the Accelerated Longevity Test.
  4. Updated May 02, 2024: We uploaded the latest brightness measurements and uniformity photos for the Accelerated Longevity Test.
  5. Updated Feb 13, 2024: We uploaded the latest brightness measurements and uniformity photos for the Accelerated Longevity Test.
  6. Updated Dec 05, 2023: Verified the TV's 1440p resolution support with firmware PKG6.7480.0852NAA; the TV doesn't support 1440p anymore, as it upscales to 4k instead. We changed the 1440p results in the Variable Refresh Rate and Input Lag tests to 'N/A', and the Supported Resolutions 1440p @ 60Hz result from 'Yes (forced resolution required)' to 'No'.
  7. Updated Dec 05, 2023: We uploaded the latest brightness measurements and uniformity photos for the Accelerated Longevity Test.
  8. Updated Oct 12, 2023: We uploaded the latest brightness measurements and uniformity photos for the Accelerated Longevity Test.
  9. Updated Oct 02, 2023: We refreshed the text throughout to correct for our latest methodology changes and consistency with our most recent TV reviews.
  10. Updated Aug 11, 2023: We bought and tested the Sony X90L/X90CL and added a few relevant comparisons below.
  11. Updated Aug 09, 2023: We uploaded the latest brightness measurements and uniformity photos for the Accelerated Longevity Test.
  12. Updated Aug 02, 2023: Added mention of the newly reviewed Samsung QN85C/QN85CD QLED in the Lighting Zone Transitions section of this review.
  13. Updated Jun 07, 2023: We uploaded the latest brightness measurements and uniformity photos for the Accelerated Longevity Test.
  14. Updated Apr 28, 2023: We've updated the text to match the latest changes to our test methodology.
  15. Updated Apr 28, 2023: Converted to Test Bench 1.11. With this update, we've added a new Upscaling: Sharpness Processing test and revamped our Blooming test so the scores and picture better match the real world experience. With this change, it was necessary to remove the Black Crush test. Finally, we've updated our usage scores to better align our scores with user expectations.
  16. Updated Apr 04, 2023: We rechecked the local dimming features of this TV and the peak brightness with Local Dimming set to 'Medium' instead of 'High'. The 'High' setting still delivers the best results overall, so no changes were made to the review.
  17. Updated Apr 03, 2023: We uploaded the brightness measurements and uniformity photos after running the TV for four months in our Accelerated Longevity Test.
  18. Updated Mar 09, 2023: Converted to Test Bench 1.10. With this update we've revamped our Gradient testing, added a new test for Low Quality Content Smoothing, and expanded our Audio Passthrough testing.
  19. Updated Feb 21, 2023: We bought and tested the LG QNED85. We've added a few relevant comparisons to this review.
  20. Updated Feb 06, 2023: We uploaded the brightness measurements and uniformity photos after running the TV for two months in our Accelerated Longevity Test.
  21. Updated Jan 11, 2023: Updated to Test Bench 1.9, modifying our Contrast testing and splitting our local dimming testing into multiple sections covering Blooming, Black Crush, and Lighting Zone Transitions. You can see our full changelog here.
  22. Updated Dec 12, 2022: We added the Sony X90S variant to the Differences Between Sizes And Variants section of the review.
  23. Updated Nov 17, 2022: We uploaded the initial brightness measurements and uniformity photos for the Accelerated Longevity Test.
  24. Updated Sep 02, 2022: Updated the text in the Color Volume section for accuracy.
  25. Updated Sep 02, 2022: Updated to Test Bench 1.8, adding a new box for PQ EOTF tracking and updating our Color Volume and Color Gamut tests to better reflect real world usage. You can see our full changelog here.
  26. Updated Aug 24, 2022: Updated to Test Bench 1.7 with an updated HDR Brightness test that better reflects real world usage. We've also split the console compatibility boxes into separate PS5 Compatibility and Xbox Series X|S Compatibility tests. You can see our full changelog here.
  27. Updated Jun 30, 2022: Sony rolled out a new firmware for this TV, v6.5929, which enables local dimming in VRR mode. There's some flickering when navigating menus, but it works well overall.
  28. Updated Jun 13, 2022: Fixed a mistake in the text that said the Sony X90J has resolution halving issues, when it doesn't.
  29. Updated Jun 13, 2022: Review published.
  30. Updated Jun 08, 2022: Early access published.
  31. Updated May 30, 2022: Our testers have started testing this product.
  32. Updated May 25, 2022: The product has arrived in our lab, and our testers will start evaluating it soon.
  33. Updated May 13, 2022: We've purchased the product and are waiting for it to arrive in our lab.

Differences Between Sizes And Variants

We bought and tested the 65-inch Sony X90K, and it's also available in 55-inch, 75-inch, and 85-inch models. The results are valid for the other sizes, but the speakers perform differently on the 55 and 65-inch models than on the larger sizes. There's also an X90CK variant available in 55 and 65 inches at Costco, and it comes with a two-year warranty and two-year subscription to the Bravia Core Streaming service. In Europe, there are the X90K, X93K, and X94K, and although the results are valid for all three variants, the X93K and X94K are closer to the North American X90K because they have a built-in mic. However, the European X90K performs the same; it's just missing the built-in mic.

Finally, there's a smaller variant of this TV known as the Sony X90S and X94S. Both variants are only available in a 50" size and offer very similar performance to the larger sizes. There are a few differences between the X90S and X94S. The X94S comes with a more premium remote, the TV itself has a built-in microphone for hands-free voice control, and it has more picture processing options.

Size Model Number  Costco Model Speakers
50" XR-50X90S - X-Balanced Speaker
55" XR-55X90K XR55X90CK Standard
65" XR-65X90K XR65X90CK Standard
75" XR-75X90K - X-Balanced Speaker
85" XR-85X90K - X-Balanced Speaker

Our unit was manufactured in April 2022; you can see the label here.

Compared To Other TVs

The Sony X90K is a great TV with a few gaming features and great overall picture quality. In a TV market with fantastic high-end TVs and budget models that provide good value, the X90K sits in between and doesn't provide much extra against other TVs like the LG QNED85 or the Hisense U8/U8H.

Also, see our recommendations for the best 4k TVs, the best smart TVs, and the best TVs for watching movies.

Sony X90L/X90CL
55" 65" 75" 85" 98"

The Sony X90L/X90CL is a noticeable improvement over its predecessor, the Sony X90K/X90CK. The X90L gets a lot brighter, especially in HDR, so bright specular highlights stand out better. The X90L also has a much better local dimming feature, resulting in significantly less blooming around bright areas of the screen, deeper blacks, and smoother (but still not great) zone transitions.

Sony X85K
43" 50" 55" 65" 75" 85"

The Sony X90K/X90CK is a higher-end TV than the Sony X85K and is better overall. The X90K has a local dimming feature, which the X85K doesn't have, resulting in better overall picture quality because it displays deeper blacks and gets brighter, so highlights pop more in HDR. The X90K also uses a different processor with a few more features, like the S-Center speaker input, so if you want the best features and performance, the X90K is the better choice.

Sony X95K
65" 75" 85"

The Sony X95K is a higher-end version of the Sony X90K/X90CK, so it has better overall performance. If you need something for bright rooms with wide seating areas, the X95K has better reflection handling and a wider viewing angle. Even if the X90K has a higher native contrast ratio, the local dimming feature is better on the X95K, so it's also the better choice for viewing content in dark rooms as there's less blooming.

Sony X900H
55" 65" 75" 85"

The Sony X90K/X90CK is a newer version of the Sony X900H, and the TVs are similar overall. The X90K gets much brighter, so it's better to use in a well-lit room, and it makes highlights pop more in HDR, so it's the better choice if you care about brightness. However, if dark room performance is important to you, the X900H looks better because it displays deeper blacks with better uniformity.

Samsung QN90B QLED
43" 50" 55" 65" 75" 85"

The Samsung QN90B QLED is better overall than the Sony X90K/X90CK. The Samsung gets brighter and has a better local dimming feature, so it displays deeper blacks with real content, meaning it's a better choice for well-lit and dark rooms. If you're also a gamer, the Samsung TV has a few more features like FreeSync VRR support. Lastly, the Samsung is better to use in a wide seating area because it has a wider viewing angle that makes the image remain consistent from the sides.

LG QNED85
55" 65" 75" 86"

The LG QNED85 is better than the Sony X90K/X90CK overall. The LG has a better local dimming feature, so there's much less blooming around bright objects in a dark scene, even though the Sony has better native contrast. The LG also has a wider viewing angle, so it's a better choice for a wide seating arrangement.

Sony X80K/X80CK
43" 50" 55" 65" 75" 85"

The Sony X90K/X90CK is a higher-end TV than the Sony X80K/X80CK with better performance. The X90K gets brighter and has deeper blacks, meaning the overall picture quality is better, and it's better for both dark and bright rooms. Also, if you're a gamer, the X90K is a superior choice as it has a higher refresh rate and more features. However, if you have a wide seating area, the X80K has a wider viewing angle that makes the image remain consistent from the sides.

Hisense U8/U8H
55" 65" 75"

The Hisense U8/U8H is much better than the Sony X90K/X90CK. The Hisense has much better reflection handling, and it gets significantly brighter, so it's a better choice for a bright viewing environment as it can better overcome glare. The Hisense delivers a more impactful HDR experience, as it gets significantly brighter in HDR and can display a wider color gamut.

Sony A80K/A80CK OLED
55" 65" 77"

The Sony A80K/A80CK OLED and the Sony X90K/X90CK are different types of TVs, each with strengths and weaknesses. The A80K is better for dark-room viewing as it delivers deeper blacks, and it's also the better choice for wide seating arrangements because it offers a wider viewing angle. If you prefer something for bright-room viewing, the X90K gets much brighter to counteract glare.

Sony X90J
50" 55" 65" 75"

The Sony X90K/X90CK is the successor to the Sony X90J, and it's not worth the upgrade if you already have the X90J or if you're deciding between the two TVs. The X90K has a wider 1080p VRR range, but other than that the differences are minor.

TCL Q7/Q750G QLED
55" 65" 75" 85"

The TCL Q7/Q750G QLED has some key strengths that outpace the Sony X90K/X90CK, but the Sony is the more stable, balanced, and quirk-free TV overall. The TCL has better contrast and black uniformity, helped by more dimming zones and a better local dimming feature with less noticeable lighting zone transitions. It also gets much brighter than the Sony in HDR and SDR, and they have equally decent reflection handling, so the TCL looks more vibrant both in dark and bright rooms. The Sony, however, is more colorful with its fuller color volume. It's also the more accurate TV overall, as it tracks the creator's intent better with HDR content and is more accurate pre-calibration. And, of course, the Sony TV has vastly better image processing than the TCL, although the TCL does an admirable job of smoothing out macro-blocking from low-quality content.

Sony A80J OLED
55" 65" 77"

The Sony A80J OLED and the Sony X90K are different types of TVs due to their different panel types. If you often watch content in a dark room, the A80J is the better choice as its OLED panel delivers deeper blacks. However, if you want to use it in a well-lit room to watch content in SDR, the LED panel of the X90K gets much brighter, so it fights glare better.

Samsung QN85B QLED
55" 65" 75" 85"

The Sony X90K/X90CK and the Samsung QN85B are both great TVs that are good for different scenarios. If you have a bright room with a wide seating area, the Samsung has a wider viewing angle and gets brighter, so visibility won't be an issue even in bright environments. However, if you tend to watch content in a dark room, the Sony delivers deeper blacks with less blooming.

Samsung QN90A QLED
43" 50" 55" 65" 75" 85" 98"

The Samsung QN90A QLED is better overall than the Sony X90K/X90CK. The Samsung delivers better picture quality than the Sony, with deeper blacks, less blooming, higher peak brightness, and a wider viewing angle. It also has FreeSync VRR support if you're a PC gamer. However, if you tend to watch Dolby Vision content from streaming services, the Sony TV supports it, which the Samsung doesn't.

Sony X95J
65" 75" 85"

The Sony X95J is higher-end than the Sony X90K/X90CK, meaning it provides better picture quality. If you want the best picture quality, especially for a wide seating arrangement, the X95J is the better choice because it has a wider viewing angle and better local dimming. However, if you want to spend a bit less, the X90K is also a great choice for dark room viewing because it has a better native contrast ratio, so blacks look deeper.

Sony X93L/X93CL
65" 75" 85"

The Sony X93L is a significant step up over the Sony X90K/X90CK. The X93L gets significantly brighter in HDR, so bright specular highlights stand out better. The X93L also has a better anti-reflective coating and a slightly wider viewing angle, but the off-angle viewing isn't good on either model. Finally, the local dimming feature on the X93L is more advanced, with more dimming zones that result in higher contrast, better dark scene performance overall, and significantly less blooming around bright highlights.

Sony X950H
49" 55" 65" 75" 85"

The Sony X950H and the Sony X90K/X90CKare both great TVs. The X950H is a higher-end TV that delivers better picture quality as it gets slightly brighter and has better reflection handling, so visibility isn't an issue in a bright room, and it performs better in dark rooms as it delivers deeper blacks in real content. If you're a gamer, the X90K is a better choice, as it supports HDMI 2.1 bandwidth and VRR.

Samsung QN85C/QN85CD QLED
55" 65" 75" 85"

The Samsung QN85C/QN85CD QLED is better than the Sony X90K/X90CK, except for image processing, where Sony is the market leader. The Samsung has a much better local dimming solution with many more zones, giving it a superior overall contrast ratio with much better black uniformity. It also gets much brighter in SDR and HDR and has a much better viewing angle. The Samsung TV also has four full HDMI 2.1 bandwidth ports versus only two on the Sony, one of which is its eARC port. Of course, the Sony TV has much better low-quality content smoothing and low-resolution upscaling and supports advanced audio and video formats such as DTS and Dolby Vision.

Hisense U7H [U7, U75H]
55" 65" 75" 85"

The Hisense U7H and the Sony X90K are similar TVs that perform slightly better than each other in different situations. The X90K is generally better for gaming due to its faster response time, so there is less blur behind quick-moving objects on screen, but if you’re looking for 1440p @ 120Hz support, the Hisense is the better option since the Sony lacks that ability. When it comes to watching movies in a dark room, the Hisense is the better option since it has better contrast, better black uniformity, and gets brighter in HDR, so highlights pop more than on the Sony. If you regularly watch low-quality and low-resolution content, the Sony is much better for that due to its better processing capabilities.  

LG QNED80 2022
50" 55" 65" 75" 86"

The Sony X90K/X90CK is better than the LG QNED80. The Sony is much better for watching movies in HDR or SDR because it displays deeper blacks and its local dimming feature is significantly better. It also gets brighter in HDR, allowing colors to look vivid and highlights to stand out. While the Sony is better overall for gaming due to its faster response time, the LG has lower input lag for a more responsive feel.

Sony X85J
43" 50" 55" 65" 75" 85"

The Sony X90K/X90CK is a higher-end TV than the Sony X85J, so it has a few more features and better performance. If you tend to watch movies in dark rooms, the X90K is the better choice because it has a local dimming feature and has higher HDR peak brightness. However, if you're going to use it in a well-lit room or for gaming, both TVs are similar, so it would be better to get whichever you can find for cheaper.

Hisense U8G
55" 65"

The Hisense U8G and the Sony X90K/X90CK are great TVs with a few differences. The Hisense gets brighter and has a better local dimming feature, meaning its overall picture quality and bright and dark room performance are better. The Hisense also displays more colors, and smaller highlights pop more if you watch HDR content. They have the same gaming features, but the Sony doesn't have the same motion issues as the Hisense, if that's an issue for you.

Sony A95K OLED
55" 65"

The Sony A95K is better than the X90K/X90CK is almost every way. The Sony’s near-infinite contrast ratio delivers incredibly deep, uniform blacks and lets bright highlights stand out with no blooming. The A95K also delivers a much more impactful HDR experience thanks to its better color volume and wider color gamut. It also has a much wider viewing angle, so if you're using it in a big room, you can move around and still enjoy a consistent image from the sides. The X90K/X90CK does get a lot brighter in SDR, so it’s a better option for watching SDR content in a very bright room.

+ Show more

Test Results

perceptual testing image
Design
Design
Style
Curved No

The overall design is simple, with thin bezels and black plastic on the back. The metal feet are flat and sit flush on the table.

Design
Accelerated Longevity Test
Uniformity Pictures
Design
Stand

The Sony X90CK has metal feet as the stand, and there are two positions you can put it in. The short position makes the TV sit very close to the table, but you can also raise the feet to place a soundbar in front without blocking the screen. The stand supports the screen well with minimal wobble, even in the raised position.

Footprint of the 65-inch TV: 46.3" x 13".

  • Height to the bottom of the screen in lower position: 1.54" (3.9 cm)
  • Height to the bottom of the screen in raised position: 3.31" (8.4 cm)

The North American variant has these two stand configurations, but you can also adjust the stand to a narrow position on the Sony X90K, X93K, and X94K models in Europe.

Design
Back
Wall Mount VESA 300x300

The back of the Sony X90K features textured plastic with some aluminum in the center. The inputs are set into the TV, so they're a bit hard to reach with the TV wall-mounted. Sadly, it doesn't feature any cable management.

Design
Borders
Borders 0.43" (1.1 cm)
Design
Thickness
Max Thickness 2.76" (7.0 cm)

The Sony X90K is thick but still sits flush against the wall when you mount it because nothing sticks out.

7.5
Design
Build Quality

The Sony Bravia X90CK has good build quality. It's well put-together, and there aren't any obvious issues with it. The bezels are uniformly attached to the screen, and the feet hold the TV well. There's some flex on the back panel near the inputs, which isn't much of an issue, and the rest of the back panel doesn't flex as much.

The panel has two dark spots that you can see in the Gray Uniformity photo, which is likely caused by pressure during assembly.

Picture Quality
8.8
Picture Quality
Contrast
Contrast
34,557 : 1
Native Contrast
7,511 : 1

The Sony X90K Series TV has an excellent contrast ratio. The full array local dimming feature is effective at boosting contrast, resulting in deeper blacks when bright highlights are on the screen in dark or dim scenes.

7.0
Picture Quality
Blooming

The Sony X90K Series has decent blooming handling. Due to the relatively large size of each zone, bright highlights create a large zone of blooming around them, especially since the TV seems to be averaging out bright highlights across more zones than necessary to reduce the harshness of the blooming. The amount of blooming also varies considerably depending on the content; you can see a few examples below:

SDRHDR
SDR 1HDR 1
SDR 2HDR 2
SDR 3HDR 3
SDR 4HDR 4
SDR 5HDR 5
SDR 6HDR 6
SDR 7HDR 7
SDR 8HDR 8
SDR 9HDR 9
SDR 10
SDR 11
SDR 12

5.5
Picture Quality
Lighting Zone Transitions
Local Dimming
Yes
Backlight
Full-Array
Dimming Zones Count Of Tested TV
54

Unfortunately, zone transitions are easily noticeable on this TV. There's a noticeable flicker as bright highlights move across the screen and zones turn on, especially with fast-moving content. It can't keep up with really fast content, either, resulting in a trailing halo behind bright objects, and the leading edge is darker. If you're sensitive to lighting zone transitions, check out the Samsung QN85C/QN85CD QLED, which is much better in this regard. The replacement model to this TV, the Sony X90L/X90CL, has more dimming zones, and the zone transitions are less noticeable.

8.0
Picture Quality
Contrast And Dark Details In Game Mode

The local dimming in Game Mode is good and looks the same as outside of Game Mode.

6.8
Picture Quality
HDR Brightness
Hallway Lights (~1950 cd/m²)
357 cd/m²
Yellow Skyscraper (~700 cd/m²)
268 cd/m²
Landscape Pool (~300 cd/m²)
168 cd/m²
Peak 2% Window
784 cd/m²
Peak 10% Window
754 cd/m²
Peak 25% Window
673 cd/m²
Peak 50% Window
510 cd/m²
Peak 100% Window
511 cd/m²
Sustained 2% Window
760 cd/m²
Sustained 10% Window
742 cd/m²
Sustained 25% Window
672 cd/m²
Sustained 50% Window
509 cd/m²
Sustained 100% Window
511 cd/m²
Automatic Brightness Limiting (ABL)
0.027

The Sony X90CK has just okay HDR peak brightness. Small highlights pop for a satisfying HDR experience, and even large areas are still bright. The replacement model to this TV, the Sony X90L/X90CL, gets significantly brighter in HDR, allowing it to display a more impactful image.

These measurements are after calibrating the HDR white point with the following settings:

  • HDR Picture Mode: Custom
  • Brightness: Max
  • Contrast: 90
  • Color Temperature: Expert 2
  • HDR Tone Mapping: Gradation Preferred
  • Peak Luminance: High
  • Auto Local Dimming: High

6.9
Picture Quality
HDR Brightness In Game Mode
Hallway Lights (~1950 cd/m²)
384 cd/m²
Yellow Skyscraper (~700 cd/m²)
309 cd/m²
Landscape Pool (~300 cd/m²)
142 cd/m²
Peak 2% Window
746 cd/m²
Peak 10% Window
776 cd/m²
Peak 25% Window
676 cd/m²
Peak 50% Window
497 cd/m²
Peak 100% Window
502 cd/m²
Sustained 2% Window
726 cd/m²
Sustained 10% Window
761 cd/m²
Sustained 25% Window
672 cd/m²
Sustained 50% Window
496 cd/m²
Sustained 100% Window
501 cd/m²
Automatic Brightness Limiting (ABL)
0.030

The HDR Brightness in Game Mode is about the same as in the 'Custom' Picture Mode. Visually, there isn't much difference between the modes.

These measurements are after calibrating the HDR white point with the following settings:

  • HDR Picture Mode: Game
  • Brightness: Max
  • Contrast: 90
  • Color Temperature: Expert 2
  • HDR Tone Mapping: Gradation Preferred
  • Peak Luminance: High
  • Auto Local Dimming: High

9.0
Picture Quality
PQ EOTF Tracking
600 Nit Tracking Delta
0.0065
1000 Nit Tracking Delta
0.0067
4000 Nit Tracking Delta
0.0065

The EOTF follows the target curve incredibly well, meaning that most content is displayed at the correct brightness level in HDR. Shadow details are displayed incredibly well, with no noticeable black crush. Midtones are slightly dimmer than they should be, but it's not a noticeable difference, and there's a fine roll-off near the TV's peak brightness, ensuring that fine details in bright scenes are preserved.

8.6
Picture Quality
SDR Brightness
Real Scene Peak Brightness
579 cd/m²
Peak 2% Window
828 cd/m²
Peak 10% Window
929 cd/m²
Peak 25% Window
794 cd/m²
Peak 50% Window
574 cd/m²
Peak 100% Window
586 cd/m²
Sustained 2% Window
804 cd/m²
Sustained 10% Window
903 cd/m²
Sustained 25% Window
785 cd/m²
Sustained 50% Window
570 cd/m²
Sustained 100% Window
584 cd/m²
Automatic Brightness Limiting (ABL)
0.028

The Sony X90CK has excellent SDR peak brightness. It easily gets bright enough to fight glare, even with large areas of bright colors, like on a webpage or sports.

These measurements are after calibration, with the following settings:

  • Picture Mode: Custom
  • Brightness: Max
  • Contrast: 90
  • Color Temperature: Expert 1
  • Peak Luminance: High
  • Auto Local Dimming: High

8.4
Picture Quality
Color Gamut
Wide Color Gamut
Yes
DCI P3 xy
90.23%
DCI P3 uv
95.08%
Rec 2020 xy
71.88%
Rec 2020 uv
79.75%

The Sony X90K has a great color gamut. It has fantastic coverage of the DCI-P3 color space used in most HDR content and decent coverage of the wider Rec. 2020 color space. Tone mapping is good with both color spaces. However, it struggles with some saturated greens in the Rec. 2020 color space.

8.3
Picture Quality
Color Volume
1,000 cd/m² DCI P3 Coverage ITP
78.6%
10,000 cd/m² Rec 2020 Coverage ITP
38.4%
White Luminance
741 cd/m²
Red Luminance
157 cd/m²
Green Luminance
504 cd/m²
Blue Luminance
50 cd/m²
Cyan Luminance
568 cd/m²
Magenta Luminance
214 cd/m²
Yellow Luminance
681 cd/m²

The overall color volume of this TV is great. It displays most bright colors well, but some colors like red and blue aren't as bright. It also displays dark colors well, but it's limited by its incomplete color gamut.

7.2
Picture Quality
Pre Calibration
White Balance dE
3.62
Color dE
2.45
Gamma
2.23
Color Temperature
7,257 K
Picture Mode
Custom
Color Temp Setting
Expert 1
Gamma Setting
0

The Sony X90K has decent accuracy before calibration. Most colors are accurate enough that you won't see any issues, but the color temperature is a bit cold, giving the screen a bit of a blue tint. Also, the white balance is off, particularly with shades closer to pure white. Luckily, gamma follows the 2.2 target well, so scenes appear at their correct brightness.

9.6
Picture Quality
Post Calibration
White Balance dE
0.15
Color dE
1.02
Gamma
2.19
Color Temperature
6,504 K
White Balance Calibration
10 point
Color Calibration
Yes

The Sony X90CK has incredible accuracy after calibration. There are virtually no noticeable inaccuracies with the white balance, gamma, and color temperature. It still struggles displaying saturated blues, but that's typical of LCD panels.

You can see our full calibration settings here.

6.8
Picture Quality
Gray Uniformity
50% Std. Dev.
3.887%
50% DSE
0.216%
5% Std. Dev.
1.147%
5% DSE
0.116%

The gray uniformity is just okay. There's a bit of vignetting in the corners, and the center has some distracting dirty screen effect. There are two visible spots on our TV, but they're unique to our unit and aren't noticeable with real content.

7.4
Picture Quality
Black Uniformity
Std. Dev.
1.068%
Native Std. Dev.
1.196%

The Sony X90K has decent black uniformity. The screen looks blue without the local dimming feature enabled, and although the local dimming helps deepen the blacks, there's also blooming around bright objects.

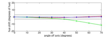
5.5
Picture Quality
Viewing Angle
Color Washout
27°
Color Shift
40°
Brightness Loss
35°
Black Level Raise
12°
Gamma Shift
17°

The viewing angle of this TV is narrow, meaning it's not a good choice for wide seating areas because you'll see a washed-out image from the sides.

7.2
Picture Quality
Reflections
Screen Finish
Semi-gloss
Total Reflections
5.6%
Indirect Reflections
0.6%
Calculated Direct Reflections
5.0%

The Sony X90K has decent reflection handling. It's fine if you have some lights around, and it gets bright enough to fight some glare, but avoid using it opposite a bright window because the reflections are distracting.

8.5
Picture Quality
HDR Native Gradient
100% Black to 50% Gray
8.0
50% Gray to 100% White
8.0
100% Black to 50% Red
10
50% Red to 100% Red
8.0
100% Black to 50% Green
10
50% Green to 100% Green
6.0
100% Black to 50% Blue
10
50% Blue to 100% Blue
8.0

This TV has excellent gradient handling in HDR. There's some noticeable banding in bright shades of green, but everything else looks great.

8.4
Picture Quality
Low-Quality Content Smoothing
Smoothing
8.5
Detail Preservation
8.0

The processing features of this TV are impressive, and low-quality content looks great. It's excellent at smoothing out macro-blocking and pixelization, and there's little loss of fine details.

9.0
Picture Quality
Upscaling: Sharpness Processing

This TV does a superb job upscaling low-resolution or low-bitrate content, like DVDs or cable TV channels. The image is sharp and easy to read, and fine details are easy to make out.

The optimal settings for a sharp image on this TV are as follows:

  • Sharpness: 60
  • Reality Creation: 20

Picture Quality
Pixels
Subpixel Layout
BGR
Type LED
Sub-Type
VA

This TV uses a BGR subpixel layout. It doesn't affect picture quality but can cause blurry text in some applications when using it as a PC monitor. You can read more about it here.

Motion
8.3
Motion
Response Time
80% Response Time
3.5 ms
100% Response Time
11.9 ms

The Sony X90K has a great response time. There isn't much motion blur behind fast-moving objects, but because it has overshoot with darker transitions, you'll see some inverse ghosting with some fast-moving dark objects.

9.5
Motion
Flicker-Free
Flicker-Free
No
PWM Dimming Frequency
720 Hz

The Sony X90CK uses pulse width modulation (PWM) to dim its backlight at all brightness levels, but it's so high that you likely won't notice it.

Motion
Black Frame Insertion (BFI)
Optional BFI
Yes
Min Flicker For 60 fps
120 Hz
60Hz For 60 fps
No
120Hz For 120 fps
Yes
Min Flicker for 60 fps in Game Mode
120 Hz

This TV has an optional backlight strobing feature, commonly known as black frame insertion. It's meant to flicker at 120Hz, which causes image duplication, but it has a strange pattern to match the standard 720Hz flicker of the backlight. It doesn't flicker at 60 fps for 60Hz content, which also causes image duplications.

Motion
Motion Interpolation
Motion Interpolation (30 fps)
Yes
Motion Interpolation (60 fps)
Yes

The Sony X90K can interpolate lower-frame-rate content up to 120 fps. It works well with slow scenes, but like most TVs, it struggles to keep up in busier scenes. It doesn't stop interpolating with busy scenes, meaning there are artifacts throughout the screen, but the framerate remains stable.

7.2
Motion
Stutter
Frame Hold Time @ 24 fps
29.8 ms
Frame Hold Time @ 60 fps
2.8 ms

Due to the relatively quick response time of the Sony X90K, some lower-frame-rate content stutters because each frame is held on longer.

10
Motion
24p Judder
Judder-Free 24p
Yes
Judder-Free 24p via 60p
Yes
Judder-Free 24p via 60i
Yes
Judder-Free 24p via Native Apps
Yes

The Sony X90K removes 24p judder from any source, which helps with the appearance of motion, particularly with movies. No additional settings are required for true 24p sources like a Blu-ray player or any streaming stick with a 'Match Frame Rate' feature, but some motion interpolation settings are needed for 60Hz sources like a cable box.

9.4
Motion
Variable Refresh Rate
Native Refresh Rate
120 Hz
Variable Refresh Rate
Yes
HDMI Forum VRR
Yes
FreeSync
No
G-SYNC Compatible
Yes
4k VRR Maximum
120 Hz
4k VRR Minimum
< 20 Hz
1080p VRR Maximum
120 Hz
1080p VRR Minimum
< 20 Hz
1440p VRR Maximum
N/A
1440p VRR Minimum
N/A
VRR + Local Dimming Yes

The Sony X90K supports variable refresh rate technology to reduce screen tearing. HDMI Forum VRR and G-SYNC compatibility work over the entire refresh rate range.

Inputs
9.2
Inputs
Input Lag
1080p @ 60Hz
17.8 ms
1080p @ 60Hz Outside Game Mode
161.0 ms
1080p @ 120Hz
9.3 ms
1080p @ 144Hz
N/A
1440p @ 60Hz
N/A
1440p @ 120Hz
N/A
1440p @ 144Hz
N/A
4k @ 60Hz
17.8 ms
4k @ 60Hz + 10-Bit HDR
17.8 ms
4k @ 60Hz @ 4:4:4
17.7 ms
4k @ 60Hz Outside Game Mode
144.3 ms
4k @ 60Hz With Interpolation
136.6 ms
4k @ 120Hz
10.1 ms
4k @ 144Hz
N/A
8k @ 60Hz
N/A

The Sony X90CK has low input lag in Game Mode for a responsive feel. You can enable the motion interpolation in Game Mode, but it also increases the input lag too much for gaming.

8.6
Inputs
Supported Resolutions
Resolution 4k
480p @ 59.94Hz (Widescreen)
Yes
720p @ 59.94Hz
Yes
1080p @ 60Hz @ 4:4:4
Yes
1080p @ 120Hz
Yes
1080p @ 144Hz
No
1440p @ 60Hz
No
1440p @ 120Hz
No
1440p @ 144Hz
No
4k @ 60Hz
Yes
4k @ 60Hz @ 4:4:4
Yes
4k @ 120Hz
Yes
4k @ 120Hz @ 4:4:4
Yes
4k @ 144Hz
No
8k @ 30Hz or 24Hz
No
8k @ 60Hz
No

The Sony X90K supports most common signals up to 4k @ 120Hz. Unlike some older Sony TVs, this TV has no resolution-halving issues with 4k @ 120Hz signals, so it displays it perfectly. Chroma 4:4:4 signals are displayed properly with 1080p and 4k signals up to 120Hz, which is important for clear text when using it as a PC monitor.

Inputs
PS5 Compatibility
Auto Low Latency Mode (ALLM)
Yes
4k @ 120Hz
Yes
1440p @ 120Hz
No
1080p @ 120Hz
Yes
HDR
Yes
VRR
Yes

The Sony X90K supports almost everything the PS5 has to offer. As part of Sony's 'Perfect For PS5' lineup, it has a few extra features for PS5 gamers that automatically adjust your picture settings, so you get the best experience possible.

Inputs
Xbox Series X|S Compatibility
Auto Low Latency Mode (ALLM)
Yes
4k @ 120Hz
Yes
1440p @ 120Hz
No
1080p @ 120Hz
Yes
HDR
Yes
VRR
Yes

The Sony X90K can nearly take full advantage of the Xbox Series S|X. Like most TVs on the market in 2022 and 2023, it's limited to 60Hz gaming with Dolby Vision HDR.

Inputs
Inputs Specifications
HDR10
Yes
HDR10+
No
Dolby Vision
Yes
HLG
Yes
HDMI 2.0 Full Bandwidth
Yes (HDMI 1,2,3,4)
HDMI 2.1 Class Bandwidth
Yes (HDMI 3,4)
CEC Yes
HDCP 2.2 Yes (HDMI 1,2,3,4)
ATSC Tuner
3.0 (NEXTGEN TV)
USB 3.0
Yes (1)
Variable Analog Audio Out No
Wi-Fi Support Yes (2.4 GHz, 5 GHz)

The Sony X90CK supports full bandwidth HDMI 2.1 of 48 Gbps, as you can see here. However, because HDMI 3 is an HDMI 2.1 and eARC port, you lose an HDMI 2.1 slot if you connect a receiver, so you can't connect multiple HDMI 2.1 devices unless the receiver supports it. The TV also supports ATSC 3.0, allowing you to stream over-the-air channels with up to a 4k resolution.

Inputs
Input Photos
Inputs
Total Inputs
HDMI 4
USB 2
Digital Optical Audio Out 1
Analog Audio Out 3.5mm 0
Analog Audio Out RCA 0
Component In 0
Composite In 1 (adapter required, not incl.)
Tuner (Cable/Ant) 1
Ethernet 1
DisplayPort 0
IR In 1

This TV doesn't have an Analog Audio Output, so you can't connect your headphones or basic speakers that use an analog connection. However, you can connect your sound system to the TV with the port label S-Center Speaker In and use the TV's speaker as a center speaker.

Inputs
Audio Passthrough
ARC/eARC Port
eARC
eARC: Dolby Atmos Over Dolby Digital Plus
Yes
eARC: Dolby Digital Plus 7.1
Yes
eARC: LPCM 7.1 Over Dolby MAT
Yes
eARC: Dolby TrueHD 7.1
Yes
eARC: DTS:X Over DTS-HD MA
Yes
eARC: DTS-HD Master Audio 7.1
Yes
eARC: LPCM Channels (Bitstream)
7.1
ARC: Dolby Digital 5.1
Yes
ARC: DTS 5.1
Yes
Optical: Dolby Digital 5.1
Yes
Optical: DTS 5.1
Yes

This TV supports eARC, allowing you to pass high-quality, uncompressed audio to a compatible receiver through an HDMI cable.

Sound Quality
7.3
Sound Quality
Frequency Response
Low-Frequency Extension
84.76 Hz
Std. Dev. @ 70
2.71 dB
Std. Dev. @ 80
2.96 dB
Std. Dev. @ Max
4.87 dB
Max
93.3 dB SPL
Dynamic Range Compression
5.46 dB

The Sony X90K has a decent frequency response. It gets loud with a well-balanced sound profile, which is important for listening to dialogue. However, it doesn't produce much bass, so get a soundbar or a dedicated surround sound setup for the best sound possible. The 75- and 85-inch models have different speakers and perform differently.

7.1
Sound Quality
Distortion
Weighted THD @ 80
0.043
Weighted THD @ Max
2.115
IMD @ 80
1.36%
IMD @ Max
7.27%

The distortion handling is decent. There's minimal distortion at moderate listening levels, but it gets more noticeable at the max volume.

Smart Features
8.0
Smart Features
Interface
Smart OS Google TV
Version 10
Ease of Use
Average
Smoothness
Very Smooth
Time Taken to Select YouTube
2 s
Time Taken to Change Backlight
2 s
Advanced Options
Many

The Sony X90CK comes with the user-friendly Google TV smart platform, which runs smoothly without any noticeable bugs.

0
Smart Features
Ad-Free
Ads
Yes
Opt-out
No
Suggested Content in Home
Yes
Opt-out of Suggested Content
No

Ads and suggested content are on the home screen and in the Google Play Store. You can opt out of personalized ads, which means you'll get non-targeted ads instead.

9.0
Smart Features
Apps and Features
App Selection
Great
App Smoothness
Very Smooth
Cast Capable
Yes
USB Drive Playback
Yes
USB Drive HDR Playback
Yes
HDR in Netflix
Yes
HDR in YouTube
Yes

The Google Play Store has tons of apps available, and they run very smoothly. It has Google Chromecast built-in, meaning you can cast content from your phone. You can also connect to the Bravia webcam for video calls.

8.5
Smart Features
Remote
Size
Small
Voice Control
Many Features
CEC Menu Control
Yes
Other Smart Features
No
Remote App Android TV

The Sony X90K comes with the redesigned Sony remote for 2022 that doesn't have a Numpad. Instead, the '123' button brings up a virtual Numpad on the screen. It has shortcut buttons to popular streaming services and has a built-in mic for voice control, and you can ask it to change inputs, change certain settings, and search for content. The TV also has a mic built-in for hands-free voice control.

Smart Features
TV Controls

There's a single button underneath the center of the TV to turn it on/off, change channels, adjust the volume, or switch inputs. The switch next to it is to turn off the mic on the TV if you're concerned about privacy.

Smart Features
In The Box

  • Remote control
  • 2x AAA batteries
  • Power cord
  • 4x VESA mount adapters
  • User guides

Smart Features
Misc
Power Consumption 75 W
Power Consumption (Max) 161 W
Firmware PKG6.5770.0680NAA